相关习题
 0  80560  80568  80574  80578  80584  80586  80590  80596  80598  80604  80610  80614  80616  80620  80626  80628  80634  80638  80640  80644  80646  80650  80652  80654  80655  80656  80658  80659  80660  80662  80664  80668  80670  80674  80676  80680  80686  80688  80694  80698  80700  80704  80710  80716  80718  80724  80728  80730  80736  80740  80746  80754  266669 

科目: 来源:2009-2010学年黑龙江省哈尔滨三中高二(下)第二学段数学试卷(理科)(解析版) 题型:解答题

对于任意的实数a,不等式|a+1|+|a-1|≥M恒成立,记实数M的最大值是m.
(1)求m的值;
(2)解不等式|x-1|+|2x-3|≤m.

查看答案和解析>>

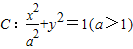
科目: 来源:2009-2010学年黑龙江省哈尔滨三中高二(下)第二学段数学试卷(理科)(解析版) 题型:解答题

F1,F2分别是椭圆的左右焦点,直线l与C相交于A,B两点
(1)直线l斜率为1且过点F1,若|AF2|,|AB|,|BF2|成等差数列,,求a值
(2)若直线l方程为y=2x+2,且OA⊥OB,求a值.

查看答案和解析>>

科目: 来源:2009-2010学年黑龙江省哈尔滨三中高二(下)第二学段数学试卷(理科)(解析版) 题型:解答题

已知函数f(x)=x-ln(x+a)在x=1处取得极值.
(1)求实数a的值;
(2)若关于x的方程f(x)+2x=x2+b在[,2]上恰有两个不相等的实数根,求实数b的取值范围;
(3)证明:
(参考数据:ln2≈0.6931)

查看答案和解析>>

科目: 来源:2007-2008学年广东省东莞市中学松山湖学校高二(上)期中数学试卷(必修5)(解析版) 题型:选择题

已知等差数列{an}的通项公式为an=3-2n,则它的公差为( )
A.2
B.3
C.-2
D.-3

查看答案和解析>>

科目: 来源:2007-2008学年广东省东莞市中学松山湖学校高二(上)期中数学试卷(必修5)(解析版) 题型:选择题

在△ABC中,a2=b2+c2+bc,则A等于( )
A.120°
B.60°
C.45°
D.30°

查看答案和解析>>

科目: 来源:2007-2008学年广东省东莞市中学松山湖学校高二(上)期中数学试卷(必修5)(解析版) 题型:选择题

已知a,b,c∈R,则下列推证中正确的是( )
A.a>b⇒am2>bm2
B.
C.
D.

查看答案和解析>>

科目: 来源:2007-2008学年广东省东莞市中学松山湖学校高二(上)期中数学试卷(必修5)(解析版) 题型:选择题

在△ABC中,a=80,b=100,A=45°,则此三角形解的情况是( )
A.一解
B.两解
C.一解或两解
D.无解

查看答案和解析>>

科目: 来源:2007-2008学年广东省东莞市中学松山湖学校高二(上)期中数学试卷(必修5)(解析版) 题型:选择题

在等比数列{an}中,a5=-16,a8=8,则a11=( )
A.-4
B.±4
C.-2
D.±2

查看答案和解析>>

科目: 来源:2007-2008学年广东省东莞市中学松山湖学校高二(上)期中数学试卷(必修5)(解析版) 题型:选择题

若a>1,则的最小值是( )
A.2
B.a
C.3
D.

查看答案和解析>>

科目: 来源:2007-2008学年广东省东莞市中学松山湖学校高二(上)期中数学试卷(必修5)(解析版) 题型:选择题

在△ABC中,若,则△ABC是( )
A.直角三角形
B.等腰三角形
C.等腰或直角三角形
D.钝角三角形

查看答案和解析>>

同步练习册答案