相关习题
 0  80590  80598  80604  80608  80614  80616  80620  80626  80628  80634  80640  80644  80646  80650  80656  80658  80664  80668  80670  80674  80676  80680  80682  80684  80685  80686  80688  80689  80690  80692  80694  80698  80700  80704  80706  80710  80716  80718  80724  80728  80730  80734  80740  80746  80748  80754  80758  80760  80766  80770  80776  80784  266669 

科目: 来源:2012-2013学年安徽省合肥168中学等联谊校高三(上)第二次段考数学试卷(文科)(解析版) 题型:填空题

已知=(3,4),=1,则||的取值范围是    

查看答案和解析>>

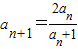
科目: 来源:2012-2013学年安徽省合肥168中学等联谊校高三(上)第二次段考数学试卷(文科)(解析版) 题型:填空题

数列{an}满足,且a1=2,则an=   

查看答案和解析>>

科目: 来源:2012-2013学年安徽省合肥168中学等联谊校高三(上)第二次段考数学试卷(文科)(解析版) 题型:填空题

若周期为2的函数f(x)满足当x∈[1,3]时,,且,则ab的值为   

查看答案和解析>>

科目: 来源:2012-2013学年安徽省合肥168中学等联谊校高三(上)第二次段考数学试卷(文科)(解析版) 题型:解答题

已知向量
(Ⅰ)若平行,求实数λ的值;
(Ⅱ)求上的投影.

查看答案和解析>>

科目: 来源:2012-2013学年安徽省合肥168中学等联谊校高三(上)第二次段考数学试卷(文科)(解析版) 题型:解答题

已知向量,且函数
(Ⅰ)求函数f(x)的最小正周期;
(Ⅱ)将函数f(x)向左平移个单位得到函数g(x),求函数g(x)的单调递增区间.

查看答案和解析>>

科目: 来源:2012-2013学年安徽省合肥168中学等联谊校高三(上)第二次段考数学试卷(文科)(解析版) 题型:解答题

已知数列{an}的前n项和记为Sn,且a1=2,an+1=Sn+2.
(Ⅰ)求数列{an}的通项公式;
(Ⅱ)若,求数列{cn}的前n项和Tn

查看答案和解析>>

科目: 来源:2012-2013学年安徽省合肥168中学等联谊校高三(上)第二次段考数学试卷(文科)(解析版) 题型:解答题

某公司建一座长方体仓库,高为5米,占地面积为600平方米(如图所示)中间以隔板隔开成三间,四周的造价为80元/平方米,中间的两块隔板的造价为40元/平方米,仓库顶的造价为260元/平方米,其它造价,厚度等忽略不计.
(Ⅰ)试设计仓库的长与宽,使总造价最低,并求出最低造价;
(Ⅱ)由于地形限制,该仓库的宽不能超过15米,试设计仓库的长与宽,使总造价最低,并求出最低造价.

查看答案和解析>>

科目: 来源:2012-2013学年安徽省合肥168中学等联谊校高三(上)第二次段考数学试卷(文科)(解析版) 题型:解答题

已知函数f(x)=x3+2x-sinx(x∈R).
(Ⅰ)证明:函数f(x)是R上单调递增函数;
(Ⅱ)解关于x的不等式f(x2-a)+f(x-ax)<0.

查看答案和解析>>

科目: 来源:2012-2013学年安徽省合肥168中学等联谊校高三(上)第二次段考数学试卷(文科)(解析版) 题型:解答题

已知数列{an},a1=3,an+1=4an-3
(Ⅰ)设bn=1og2(an-1),求数列{bn}的前n项和Sn
(Ⅱ)在(Ⅰ)的条件下,求证:

查看答案和解析>>

科目: 来源:2010-2011学年江西省宜春市樟树中学高二(上)第四次月考数学试卷(文科)(解析版) 题型:选择题

已知a,b是实数,则“a>0且b>0”是“a+b>0且ab>0”的( )
A.充分而不必要条件
B.必要而不充分条件
C.充分必要条件
D.既不充分也不必要条件

查看答案和解析>>

同步练习册答案