相关习题
0 80604 80612 80618 80622 80628 80630 80634 80640 80642 80648 80654 80658 80660 80664 80670 80672 80678 80682 80684 80688 80690 80694 80696 80698 80699 80700 80702 80703 80704 80706 80708 80712 80714 80718 80720 80724 80730 80732 80738 80742 80744 80748 80754 80760 80762 80768 80772 80774 80780 80784 80790 80798 266669
科目:
来源:2009-2010学年山东省聊城一中高一(上)期中数学试卷(必修2)(解析版)
题型:选择题

如图所示,U是全集,A、B是U的子集,则阴影部分所表示的集合是( )
A.A∩B
B.B∩(∁
UA)
C.A∪B
D.A∩(∁
UB)
查看答案和解析>>
科目:
来源:2009-2010学年山东省聊城一中高一(上)期中数学试卷(必修2)(解析版)
题型:选择题
设f(x)=3x+3x-8,用二分法求方程3x+3x-8=0在x∈(1,2)内近似解的过程中得f(1)<0,f(1.5)>0,f(1.25)<0,则方程的根落在区间( )
A.(1,1.25)
B.(1.25,1.5)
C.(1.5,2)
D.不能确定
查看答案和解析>>
科目:
来源:2009-2010学年山东省聊城一中高一(上)期中数学试卷(必修2)(解析版)
题型:选择题
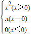
f(x)=

,则f{f[f(-2009)]等于( )
A.π
2B.9
C.π
D.0
查看答案和解析>>
科目:
来源:2009-2010学年山东省聊城一中高一(上)期中数学试卷(必修2)(解析版)
题型:选择题
设

,

,

,则( )
A.a<b<c
B.c<b<a
C.c<a<b
D.b<a<c
查看答案和解析>>
科目:
来源:2009-2010学年山东省聊城一中高一(上)期中数学试卷(必修2)(解析版)
题型:选择题
下列各组函数中,表示同一函数的是( )
A.y=x,y=

B.y=lgx
2,y=2lg
C.y=|x|,y=(

)
2D.y=1,y=x
查看答案和解析>>
科目:
来源:2009-2010学年山东省聊城一中高一(上)期中数学试卷(必修2)(解析版)
题型:选择题
设a∈

,则使函数y=x
a的定义域是R,且为奇函数的所有a的值是( )
A.1,3
B.-1,1
C.-1,3
D.-1,1,3
查看答案和解析>>
科目:
来源:2009-2010学年山东省聊城一中高一(上)期中数学试卷(必修2)(解析版)
题型:选择题
某学生离家去学校,由于怕迟到,所以一开始就跑步,等跑累了再走余下的路程. 在如图中纵轴表示离学校的距离,横轴表示出发后的时间,则如图中的四个图形中较符合该学生走法的是( )
A.

B.

C.

D.

查看答案和解析>>
科目:
来源:2009-2010学年山东省聊城一中高一(上)期中数学试卷(必修2)(解析版)
题型:选择题
给出如下三个等式:①f(a+b)=f(a)+f(b);②f(ab)=f(a)+f(b);③f(ab)=f(a)×f(b).
则下列函数中,不满足其中任何一个等式的函数是( )
A.f(x)=x2
B.f(x)=3
C.f(x)=2x
D.f(x)=ln
查看答案和解析>>
科目:
来源:2009-2010学年山东省聊城一中高一(上)期中数学试卷(必修2)(解析版)
题型:选择题
如果奇函数f(x)在区间[3,7]上是增函数且最小值为5,那么f(x)在区间[-7,-3]上是( )
A.增函数且最小值为-5
B.增函数且最大值为-5
C.减函数且最小值为-5
D.减函数且最大值为-5
查看答案和解析>>
科目:
来源:2009-2010学年山东省聊城一中高一(上)期中数学试卷(必修2)(解析版)
题型:选择题

如图所示的是某池塘中的浮萍蔓延的面积(m
2)与时间t(月)的关系:y=a
t,有以下叙述:
①这个指数函数的底数是2;
②第5个月时,浮萍的面积就会超过30m
2;
③浮萍从4m
2蔓延到12m
2需要经过1.5个月;
④浮萍每个月增加的面积都相等;
其中正确的是( )
A.①②③
B.①②③④
C.②③④
D.①②
查看答案和解析>>