相关习题
 0  80695  80703  80709  80713  80719  80721  80725  80731  80733  80739  80745  80749  80751  80755  80761  80763  80769  80773  80775  80779  80781  80785  80787  80789  80790  80791  80793  80794  80795  80797  80799  80803  80805  80809  80811  80815  80821  80823  80829  80833  80835  80839  80845  80851  80853  80859  80863  80865  80871  80875  80881  80889  266669 

科目: 来源:《1.1.2 基本不等式》2013年同步练习(1)(解析版) 题型:填空题

f(x)=ax2+ax-1在R上满足f(x)<0,则a的取值范围是   

查看答案和解析>>

科目: 来源:《1.1.2 基本不等式》2013年同步练习(1)(解析版) 题型:填空题

若a>1,0<b<1,且,则实数x的范围是   

查看答案和解析>>

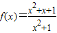
科目: 来源:《1.1.2 基本不等式》2013年同步练习(1)(解析版) 题型:填空题

函数的值域为   

查看答案和解析>>

科目: 来源:《1.1.2 基本不等式》2013年同步练习(1)(解析版) 题型:填空题

设x>0,y>0且x+2y=1,求的最小值   

查看答案和解析>>

科目: 来源:《1.1.2 基本不等式》2013年同步练习(1)(解析版) 题型:填空题

设x、y是正实数,且x+y=5,则lgx+lgy的最大值是   

查看答案和解析>>

科目: 来源:《1.1.2 基本不等式》2013年同步练习(1)(解析版) 题型:填空题

若正数a,b满足ab=a+b+3,则ab的取值范围是    

查看答案和解析>>

科目: 来源:《1.1.2 基本不等式》2013年同步练习(1)(解析版) 题型:解答题

为了立一块广告牌,要制造一个三角形的支架,三角形支架形状如图,要求∠ACB=60°,BC的长度大于1米,且AC比AB长0.5米为了广告牌稳固,要求AC的长度越短越好,求AC最短为多少米?且当AC最短时,BC长度为多少米?

查看答案和解析>>

科目: 来源:《1.1.2 基本不等式》2013年同步练习(1)(解析版) 题型:解答题

设不等式2x-1>m(x2-1)对满足条件|m|≤2的一切实数m都恒成立,求实数x的取值范围.

查看答案和解析>>

科目: 来源:《1.1.2 基本不等式》2013年同步练习(1)(解析版) 题型:解答题

是否存在m使得不等式2x-1>m(x2-1)对满足|x|≤2的一切实数x的取值都成立.

查看答案和解析>>

科目: 来源:《1.1.2 基本不等式》2013年同步练习(1)(解析版) 题型:解答题

已知a>0,b>0,a,b的等差中项是,且α=a+,β=b+,求α+β的最小值.

查看答案和解析>>

同步练习册答案