相关习题
0 80777 80785 80791 80795 80801 80803 80807 80813 80815 80821 80827 80831 80833 80837 80843 80845 80851 80855 80857 80861 80863 80867 80869 80871 80872 80873 80875 80876 80877 80879 80881 80885 80887 80891 80893 80897 80903 80905 80911 80915 80917 80921 80927 80933 80935 80941 80945 80947 80953 80957 80963 80971 266669
科目:
来源:2009-2010学年黑龙江省绥化市庆安一中高一(上)10月月考数学试卷(解析版)
题型:解答题
已知函数f(x)=

.
(1)判断函数的奇偶性;
(2)求该函数的值域;
(3)证明f(x)是R上的增函数.
查看答案和解析>>
科目:
来源:2009-2010学年黑龙江省绥化市庆安一中高一(上)10月月考数学试卷(解析版)
题型:解答题
如图,已知底角为45°的等腰梯形ABCD,底边BC长为7cm,腰长为

,当一条垂直于底边BC(垂足为F)的直线l从左至右移动(与梯形ABCD有公共点)时,直线l把梯形分成两部分,令BF=x,试写出左边部分的面积y与x的函数.

查看答案和解析>>
科目:
来源:2009-2010学年黑龙江省绥化市庆安一中高一(上)10月月考数学试卷(解析版)
题型:解答题
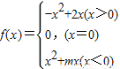
已知奇函数

(1)求实数m的值,并在给出的直角坐标系中画出y=f(x)的图象.
(2)若函数f(x)在区间[-1,|a|-2]上单调递增,试确定a的取值范围.
查看答案和解析>>
科目:
来源:2009-2010学年黑龙江省绥化市庆安一中高一(上)10月月考数学试卷(解析版)
题型:解答题
某民营企业生产A,B两种产品,根据市场调查和预测,A产品的利润与投资成正比,其关系如图1,B产品的利润与投资的算术平方根成正比,其关系如图2(注:利润与投资单位是万元)
(1)分别将A,B两种产品的利润表示为投资的函数,并写出它们的函数关系式.
(2)该企业已筹集到10万元资金,并全部投入A,B两种产品的生产,问:怎样分配这10万元投资,才能使企业获得最大利润,其最大利润约为多少万元.(精确到1万元).

查看答案和解析>>
科目:
来源:2009-2010学年黑龙江省绥化市庆安一中高一(上)10月月考数学试卷(解析版)
题型:解答题
已知f(x)=loga(1+x),g(x)=loga(1-x)(a>0,a≠1).
(1)求函数f(x)-g(x)的定义域;
(2)判断函数f(x)-g(x)的奇偶性,并予以证明;
(3)求使f(x)-g(x)>0的x的取值范围.
查看答案和解析>>
科目:
来源:2012-2013学年河北省邢台一中高二(下)第一次月考数学试卷(理科)(解析版)
题型:选择题

dx等于( )
A.-2ln2
B.2ln2
C.-ln2
D.ln2
查看答案和解析>>
科目:
来源:2012-2013学年河北省邢台一中高二(下)第一次月考数学试卷(理科)(解析版)
题型:选择题
在函数y=x
3-8x的图象上,其切线的倾斜角小于

的点中,坐标为整数的点的个数是( )
A.3
B.2
C.1
D.0
查看答案和解析>>
科目:
来源:2012-2013学年河北省邢台一中高二(下)第一次月考数学试卷(理科)(解析版)
题型:选择题
己知f(x)=-x3-x,x∈[m,n],且f(m)•f(n)<0,则方程f(x)=0在区间[m,n]上( )
A.至少有三个实数根
B.至少有两个实根
C.有且只有一个实数根
D.无实根
查看答案和解析>>
科目:
来源:2012-2013学年河北省邢台一中高二(下)第一次月考数学试卷(理科)(解析版)
题型:选择题
设函数f(x)=g(x)+x
2,曲线y=g(x)在点(1,g(1))处的切线方程为y=2x+1,则曲线y=f(x)在点(1,f(1))处切线的斜率为( )
A.4
B.-

C.2
D.-

查看答案和解析>>
科目:
来源:2012-2013学年河北省邢台一中高二(下)第一次月考数学试卷(理科)(解析版)
题型:选择题
已知函数f(x)=

若f′(a)=1,则a=( )
A.log
2e或log
2(log
2e)
B.ln2
C.log
2e
D.2或log
2(log
2e)
查看答案和解析>>