相关习题
0 80779 80787 80793 80797 80803 80805 80809 80815 80817 80823 80829 80833 80835 80839 80845 80847 80853 80857 80859 80863 80865 80869 80871 80873 80874 80875 80877 80878 80879 80881 80883 80887 80889 80893 80895 80899 80905 80907 80913 80917 80919 80923 80929 80935 80937 80943 80947 80949 80955 80959 80965 80973 266669
科目:
来源:2012-2013学年山西大学附中高二(下)3月月考数学试卷(理科)(解析版)
题型:解答题
某车间有50名工人,要完成150件产品的生产任务,每件产品由3个A 型零件和1个B 型零件配套组成.每个工人每小时能加工5个A 型零件或者3个B 型零件,现在把这些工人分成两组同时工作(分组后人数不再进行调整),每组加工同一中型号的零件.设加工A 型零件的工人人数为x名(x∈N*)
(1)设完成A 型零件加工所需时间为f(x)小时,写出f(x)的解析式;
(2)为了在最短时间内完成全部生产任务,x应取何值?
查看答案和解析>>
科目:
来源:2012-2013学年山西大学附中高二(下)3月月考数学试卷(理科)(解析版)
题型:解答题
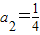
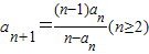
在数列{a
n}中,a
1=1、

,且

.
(Ⅰ) 求a
3、a
4,猜想a
n的表达式,并加以证明;
(Ⅱ) 设

,求证:对任意的自然数n∈N
*,都有

.
查看答案和解析>>
科目:
来源:2012-2013学年山西大学附中高二(下)3月月考数学试卷(理科)(解析版)
题型:解答题
已知函数f(x)=(1+x)
2-aln(1+x)
2,在x=-2时取得极值.
(Ⅰ)求函数f(x)的解析式;
(Ⅱ)若

时,f(x)<m恒成立,求实数m的取值范围;
(Ⅲ)若g(x)=x
2+x+b,是否存在实数b,使得方程f(x)=g(x)在区间[0,2]上恰有两个相异实数根,若存在,求出b的范围,若不存在说明理由.
查看答案和解析>>
科目:
来源:2009-2010学年黑龙江省绥化市庆安一中高一(上)10月月考数学试卷(解析版)
题型:选择题
设集合A={4,5,7,9},B={3,4,7,8,9},全集U=A∪B,则集合∁U(A∩B)中的元素共有( )
A.3个
B.4个
C.5个
D.6个
查看答案和解析>>
科目:
来源:2009-2010学年黑龙江省绥化市庆安一中高一(上)10月月考数学试卷(解析版)
题型:选择题
若对于任意实数x,都有f(-x)=f(x),且f(x)在(-∞,0]上是增函数,则( )
A.f(-

)<f(-1)<f(2)
B.f(-1)<f(-

)<f(2)
C.f(2)<f(-1)<f(-

)
D.f(2)<f(-

)<f(-1)
查看答案和解析>>
科目:
来源:2009-2010学年黑龙江省绥化市庆安一中高一(上)10月月考数学试卷(解析版)
题型:选择题
不等式-6x
2-x+2≤0的解集是( )
A.

B.

C.

D.

查看答案和解析>>
科目:
来源:2009-2010学年黑龙江省绥化市庆安一中高一(上)10月月考数学试卷(解析版)
题型:选择题
函数y=-x+b与y=b
-x(其中b>0,且b≠1)在同一坐标系中的图象只可能是( )
A.

B.

C.

D.

查看答案和解析>>
科目:
来源:2009-2010学年黑龙江省绥化市庆安一中高一(上)10月月考数学试卷(解析版)
题型:选择题
下列各组函数中表示同一函数的是( )
A.

,

B.

,g(x)=x+1
C.f(x)=|x|,

D.

,g(x)=

查看答案和解析>>
科目:
来源:2009-2010学年黑龙江省绥化市庆安一中高一(上)10月月考数学试卷(解析版)
题型:选择题
有下列函数:
①y=x2-3|x|+2;
②y=x2,x∈(-2,2];
③y=x3;
④y=x-1,
其中是偶函数的有( )
A.①
B.①③
C.①②
D.②④
查看答案和解析>>
科目:
来源:2009-2010学年黑龙江省绥化市庆安一中高一(上)10月月考数学试卷(解析版)
题型:选择题
下列四个函数中,在(0,+∞)上为增函数的是( )
A.f(x)=3-
B.f(x)=x
2-3
C.f(x)=-

D.f(x)=-|x|
查看答案和解析>>