相关习题
 0  80804  80812  80818  80822  80828  80830  80834  80840  80842  80848  80854  80858  80860  80864  80870  80872  80878  80882  80884  80888  80890  80894  80896  80898  80899  80900  80902  80903  80904  80906  80908  80912  80914  80918  80920  80924  80930  80932  80938  80942  80944  80948  80954  80960  80962  80968  80972  80974  80980  80984  80990  80998  266669 

科目: 来源:2012-2013学年江苏省南通市如皋市白蒲高级中学高二(下)期初数学试卷(解析版) 题型:填空题

命题“?n∈N,2n>1000”的否定是   

查看答案和解析>>

科目: 来源:2012-2013学年江苏省南通市如皋市白蒲高级中学高二(下)期初数学试卷(解析版) 题型:填空题

“x<-1”是“x2-1>0”的    条件.

查看答案和解析>>

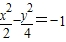
科目: 来源:2012-2013学年江苏省南通市如皋市白蒲高级中学高二(下)期初数学试卷(解析版) 题型:填空题

双曲线的渐近线方程为   

查看答案和解析>>

科目: 来源:2012-2013学年江苏省南通市如皋市白蒲高级中学高二(下)期初数学试卷(解析版) 题型:填空题

若曲线y=x2+ax+b在点(0,b)处的切线方程是x-y+1=0,则a+b=   

查看答案和解析>>

科目: 来源:2012-2013学年江苏省南通市如皋市白蒲高级中学高二(下)期初数学试卷(解析版) 题型:填空题

离心率e=,一条准线为x=3的椭圆的标准方程是   

查看答案和解析>>

科目: 来源:2012-2013学年江苏省南通市如皋市白蒲高级中学高二(下)期初数学试卷(解析版) 题型:填空题

已知f(x)=x2+3xf′(1),则f′(1)为   

查看答案和解析>>

科目: 来源:2012-2013学年江苏省南通市如皋市白蒲高级中学高二(下)期初数学试卷(解析版) 题型:填空题

已知△ABC的顶点B、C在椭圆+y2=1上,顶点A是椭圆的一个焦点,且椭圆的另外一个焦点在BC边上,则△ABC的周长是   

查看答案和解析>>

科目: 来源:2012-2013学年江苏省南通市如皋市白蒲高级中学高二(下)期初数学试卷(解析版) 题型:填空题

函数y=x+2cosx在区间上的最大值是   

查看答案和解析>>

科目: 来源:2012-2013学年江苏省南通市如皋市白蒲高级中学高二(下)期初数学试卷(解析版) 题型:填空题

已知命题p:?x∈R,x2+m<0;命题q:?x∈R,x2+mx+1>0.若p或q是真命题,p且q是假命题,则实数m的取值范围是   

查看答案和解析>>

科目: 来源:2012-2013学年江苏省南通市如皋市白蒲高级中学高二(下)期初数学试卷(解析版) 题型:填空题

命题“ax2-2ax-3>0不成立”是真命题,则实数a的取值范围是   

查看答案和解析>>

同步练习册答案