相关习题
 0  80906  80914  80920  80924  80930  80932  80936  80942  80944  80950  80956  80960  80962  80966  80972  80974  80980  80984  80986  80990  80992  80996  80998  81000  81001  81002  81004  81005  81006  81008  81010  81014  81016  81020  81022  81026  81032  81034  81040  81044  81046  81050  81056  81062  81064  81070  81074  81076  81082  81086  81092  81100  266669 

科目: 来源:2010-2011学年广东省佛山市顺德区均安中学高一(上)期中数学试卷(解析版) 题型:选择题

下列各式错误的是( )
A.30.8>30.7
B.log0..50.4>log0..50.6
C.0.75-0.1<0.750.1
D.lg1.6>lg1.4

查看答案和解析>>

科目: 来源:2010-2011学年广东省佛山市顺德区均安中学高一(上)期中数学试卷(解析版) 题型:选择题

当a>1时,在同一坐标系中,函数y=a-x与y=logax的图象( )
A.
B.
C.
D.

查看答案和解析>>

科目: 来源:2010-2011学年广东省佛山市顺德区均安中学高一(上)期中数学试卷(解析版) 题型:选择题

函数 的图象关于( )
A.x轴对称
B.y轴对称
C.原点对称
D.直线y=x对称

查看答案和解析>>

科目: 来源:2010-2011学年广东省佛山市顺德区均安中学高一(上)期中数学试卷(解析版) 题型:选择题

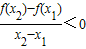
定义在R上的偶函数f(x)满足:对任意的x1,x2∈[0,+∞)(x1≠x2),有,则( )
A.f(-2)<f(1)<f(3)
B.f(1)<f(-2)<f(3)
C.f(3)<f(-2)<f(1)
D.f(3)<f(1)<f(-2)

查看答案和解析>>

科目: 来源:2010-2011学年广东省佛山市顺德区均安中学高一(上)期中数学试卷(解析版) 题型:选择题

函数f(x)定义域为R,且对任意x、y∈R,f(x+y)=f(x)+f(y)恒成立.则下列选项中不恒成立的是( )
A.f(0)=0
B.f(2)=2f(1)
C.f()=f(1)
D.f(-x)f(x)<0

查看答案和解析>>

科目: 来源:2010-2011学年广东省佛山市顺德区均安中学高一(上)期中数学试卷(解析版) 题型:选择题

如果一个函数f(x)满足(1)定义域为R;(2)任意x1,x2∈R,若x1+x2=0,则f(x1)+f(x2)=0;(3)任意x∈R,若t>0,f(x+t)>f(x).则f(x)可以是( )
A.y=-
B.y=3x
C.y=x3
D.y=log3

查看答案和解析>>

科目: 来源:2010-2011学年广东省佛山市顺德区均安中学高一(上)期中数学试卷(解析版) 题型:填空题

若幂函数f(x)的图象过点(2,4),则f(9)=   

查看答案和解析>>

科目: 来源:2010-2011学年广东省佛山市顺德区均安中学高一(上)期中数学试卷(解析版) 题型:填空题

函数y=f(x)是奇函数,当x<0时f(x)=3x-2,则f(5)=   

查看答案和解析>>

科目: 来源:2010-2011学年广东省佛山市顺德区均安中学高一(上)期中数学试卷(解析版) 题型:填空题

已知函数的值为   

查看答案和解析>>

科目: 来源:2010-2011学年广东省佛山市顺德区均安中学高一(上)期中数学试卷(解析版) 题型:填空题

函数y=x2-4x+6 当x∈[1,4]时,此函数的最大值为    ;最小值为   

查看答案和解析>>

同步练习册答案