相关习题
 0  80908  80916  80922  80926  80932  80934  80938  80944  80946  80952  80958  80962  80964  80968  80974  80976  80982  80986  80988  80992  80994  80998  81000  81002  81003  81004  81006  81007  81008  81010  81012  81016  81018  81022  81024  81028  81034  81036  81042  81046  81048  81052  81058  81064  81066  81072  81076  81078  81084  81088  81094  81102  266669 

科目: 来源:2012-2013学年山东省泰安市宁阳实验中学高一(下)期中数学试卷(解析版) 题型:选择题

从学号为0~50的高一某班50名学生中随机选取5名同学参加数学测试,采用系统抽样的方法,则所选5名学生的学号可能是( )
A.5,15,25,35,45
B.1,2,3,4,5
C.2,4,6,8,10
D.4,13,22,31,40

查看答案和解析>>

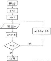
科目: 来源:2012-2013学年山东省泰安市宁阳实验中学高一(下)期中数学试卷(解析版) 题型:选择题

某程序框图如图所示,该程序运行后输出的最后一个数是( )

A.2
B.1.5
C.1.25
D.1.125

查看答案和解析>>

科目: 来源:2012-2013学年山东省泰安市宁阳实验中学高一(下)期中数学试卷(解析版) 题型:选择题

阅读图所示的程序框图,若运行该程序后输出的y值为,则输入的实数x值为( )

A.,-
B.3,-3
C.,-3
D.-,3

查看答案和解析>>

科目: 来源:2012-2013学年山东省泰安市宁阳实验中学高一(下)期中数学试卷(解析版) 题型:选择题

从一个不透明的口袋中摸出红球的概率为1/5,已知袋中红球有3个,则袋中共有除颜色外完全相同的球的个数为( )
A.5个
B.8个
C.10个
D.15个

查看答案和解析>>

科目: 来源:2012-2013学年山东省泰安市宁阳实验中学高一(下)期中数学试卷(解析版) 题型:选择题

从装有2个红球和2个白球的袋内任取两个球,那么下列事件中,对立事件的是( )
A.至少有一个白球;都是白球
B.至少有一个白球;至少有一个红球
C.恰好有一个白球;恰好有2个白球
D.至少有1个白球;都是红球

查看答案和解析>>

科目: 来源:2012-2013学年山东省泰安市宁阳实验中学高一(下)期中数学试卷(解析版) 题型:选择题

一个三位数字的密码锁,每位上的数字都在0到9这十个数字中任选,某人忘记了密码最后一个号码,那么此人开锁时,在对好前两位数码后,随意拨动最后一个数字恰好能开锁的概率为( )
A.
B.
C.
D.

查看答案和解析>>

科目: 来源:2012-2013学年山东省泰安市宁阳实验中学高一(下)期中数学试卷(解析版) 题型:填空题

如图,在正方形内有一扇形(见阴影部分),扇形对应的圆心是正方形的一顶点,半径为正方形的边长.在这个图形上随机撒一粒黄豆,它落在扇形外正方形内的概率为   

查看答案和解析>>

科目: 来源:2012-2013学年山东省泰安市宁阳实验中学高一(下)期中数学试卷(解析版) 题型:填空题

下列说法:
①设有一批产品,其次品率为0.05,则从中任取200件,必有10件次品;
②抛100次硬币的试验,有51次出现正面.因此出现正面的概率是0.51;
③抛掷骰子100次,得点数是1的结果是18次,则出现1点的频率是
④抛掷两枚硬币,出现“两枚都是正面朝上”、“两枚都是反面朝上”、“恰好一枚硬币正面朝上”的概率一样大
⑤有10个阄,其中一个代表奖品,10个人按顺序依次抓阄来决定奖品的归属,则摸奖的顺序对中奖率没有影响.
其中正确的有   

查看答案和解析>>

科目: 来源:2012-2013学年山东省泰安市宁阳实验中学高一(下)期中数学试卷(解析版) 题型:填空题

从数字1,2,3,4中任取两个不同的数字,构成一个两位数,则这个数字大于30的概率是   

查看答案和解析>>

科目: 来源:2012-2013学年山东省泰安市宁阳实验中学高一(下)期中数学试卷(解析版) 题型:填空题

若直线3x-4y+12=0与两会标轴交点为A、B,则以线段AB为直径的圆的方程是   

查看答案和解析>>

同步练习册答案