相关习题
 0  81031  81039  81045  81049  81055  81057  81061  81067  81069  81075  81081  81085  81087  81091  81097  81099  81105  81109  81111  81115  81117  81121  81123  81125  81126  81127  81129  81130  81131  81133  81135  81139  81141  81145  81147  81151  81157  81159  81165  81169  81171  81175  81181  81187  81189  81195  81199  81201  81207  81211  81217  81225  266669 

科目: 来源:2010-2011学年广东省东莞市四校联考高一(上)期中数学试卷(解析版) 题型:填空题

一种新款手机的价格原来是a元,在今后m个月内,价格平均每两个月减少p%,则这款手机的价格y元随月数x变化的函数解析式:   

查看答案和解析>>

科目: 来源:2010-2011学年广东省东莞市四校联考高一(上)期中数学试卷(解析版) 题型:解答题

已知集合A={x|3≤x<7},B={x|2<x<10}
求:A∪B;(∁RA)∩B.

查看答案和解析>>

科目: 来源:2010-2011学年广东省东莞市四校联考高一(上)期中数学试卷(解析版) 题型:解答题

已知
(1)求m的值;       
(2)判断f(x)的奇偶性.

查看答案和解析>>

科目: 来源:2010-2011学年广东省东莞市四校联考高一(上)期中数学试卷(解析版) 题型:解答题

(1)证明函数 f(x)=x+ 在x∈[2,+∞)上是增函数;
(2)求f(x)在[4,8]上的值域.

查看答案和解析>>

科目: 来源:2010-2011学年广东省东莞市四校联考高一(上)期中数学试卷(解析版) 题型:解答题

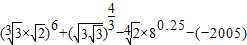
计算下列各式
(Ⅰ)lg24-(lg3+lg4)+lg5
(Ⅱ) 

查看答案和解析>>

科目: 来源:2010-2011学年广东省东莞市四校联考高一(上)期中数学试卷(解析版) 题型:解答题

根据市场调查,某商品在最近的20天内的价格f(t)与时间t满足关系f(t)=,销售量g(t)与时间t满足关系个g(t)=-t+30,(0≤t≤20,t∈N),设商品的日销售额为F(t)(销售量与价格之积).
(1)求商品的日销售额F(t)的解析式;
(2)求商品的日销售额F(t)的最大值.

查看答案和解析>>

科目: 来源:2010-2011学年广东省东莞市四校联考高一(上)期中数学试卷(解析版) 题型:解答题

已知函数
(1)判断f(x)的奇偶性并证明;
(2)若f(x)的定义域为[α,β](β>α>0),判断f(x)在定义域上的增减性,并加以证明;
(3)若0<m<1,使f(x)的值域为[logmm(β-1),logmm(α-1)]的定义域区间[α,β](β>α>0)是否存在?若存在,求出[α,β],若不存在,请说明理由.

查看答案和解析>>

科目: 来源:2012-2013学年四川省广安市高二(下)期末数学试卷(文科)(解析版) 题型:选择题

复数在复平面内所表示的点在( )
A.第一象限
B.第二象限
C.第三象限
D.第四象限

查看答案和解析>>

科目: 来源:2012-2013学年四川省广安市高二(下)期末数学试卷(文科)(解析版) 题型:选择题

曲线y=-x3+2x+3在点(1,4)处的切线的斜率为( )
A.1
B.-1
C.
D.

查看答案和解析>>

科目: 来源:2012-2013学年四川省广安市高二(下)期末数学试卷(文科)(解析版) 题型:选择题

在曲线y=x2上切线倾斜角为的点是( )
A.(0,0)
B.(2,4)
C.(
D.(

查看答案和解析>>

同步练习册答案