相关习题
 0  81053  81061  81067  81071  81077  81079  81083  81089  81091  81097  81103  81107  81109  81113  81119  81121  81127  81131  81133  81137  81139  81143  81145  81147  81148  81149  81151  81152  81153  81155  81157  81161  81163  81167  81169  81173  81179  81181  81187  81191  81193  81197  81203  81209  81211  81217  81221  81223  81229  81233  81239  81247  266669 

科目: 来源:2012-2013学年浙江省湖州市吴兴高级中学高一(下)期末数学试卷(解析版) 题型:填空题

设x>0,则的最小值是   

查看答案和解析>>

科目: 来源:2012-2013学年浙江省湖州市吴兴高级中学高一(下)期末数学试卷(解析版) 题型:填空题

如图是一个容量为200的样本频率分布直方图,由此图可以知道:
(1)样本数据落在范围[5,13)的频率为   
(2)样本数据落在范围[13,17)的频数为   

查看答案和解析>>

科目: 来源:2012-2013学年浙江省湖州市吴兴高级中学高一(下)期末数学试卷(解析版) 题型:填空题

若n为等差数列-4,-2,0,…中的第8项,则二项式展开式中常数项是第    项.

查看答案和解析>>

科目: 来源:2012-2013学年浙江省湖州市吴兴高级中学高一(下)期末数学试卷(解析版) 题型:填空题

定义集合运算:A⊙B={z|z=xy(x+y),x∈A,y∈B}.设集合A={0,1},B={2,3},则集合A⊙B的所有元素之和为   

查看答案和解析>>

科目: 来源:2012-2013学年浙江省湖州市吴兴高级中学高一(下)期末数学试卷(解析版) 题型:填空题

某程序框图如图所示,该程序运行后输出的K的值是   

查看答案和解析>>

科目: 来源:2012-2013学年浙江省湖州市吴兴高级中学高一(下)期末数学试卷(解析版) 题型:填空题

已知f(x)=2x3-6x2+m(m为常数),在[-2,2]上有最大值3,那么此函数在[-2,2]上的最小值为   

查看答案和解析>>

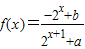
科目: 来源:2012-2013学年浙江省湖州市吴兴高级中学高一(下)期末数学试卷(解析版) 题型:解答题

已知定义域为R的函数是奇函数.
(Ⅰ)求a,b的值;
(Ⅱ)解不等式f(5-2x)+f(3x+1)<0.

查看答案和解析>>

科目: 来源:2012-2013学年浙江省湖州市吴兴高级中学高一(下)期末数学试卷(解析版) 题型:解答题

如图,平面ABC⊥平面ABD,∠ACB=90°,CA=CB,△ABD是正三角形,则二面角C-BD-A的平面角的正切值为多少.

查看答案和解析>>

科目: 来源:2012-2013学年浙江省湖州市吴兴高级中学高一(下)期末数学试卷(解析版) 题型:解答题

已知函数f(x)=mx2+lnx-2x.
(1)若m=-4,求函数f(x)的最大值.
(2)若f(x)在定义域内为增函数,求实数m的取值范围.

查看答案和解析>>

科目: 来源:2012-2013学年浙江省湖州市吴兴高级中学高一(下)期末数学试卷(解析版) 题型:解答题

已知点列An(xn,0)满足:,其中n∈N,又已知x=-1,x1=1,a>1.
(1)若xn+1=f(xn)(n∈N*),求f(x)的表达式;
(2)已知点B,记an=|BAn|(n∈N*),且an+1<an成立,试求a的取值范围;
(3)设(2)中的数列an的前n项和为Sn,试求:

查看答案和解析>>

同步练习册答案