相关习题
 0  81063  81071  81077  81081  81087  81089  81093  81099  81101  81107  81113  81117  81119  81123  81129  81131  81137  81141  81143  81147  81149  81153  81155  81157  81158  81159  81161  81162  81163  81165  81167  81171  81173  81177  81179  81183  81189  81191  81197  81201  81203  81207  81213  81219  81221  81227  81231  81233  81239  81243  81249  81257  266669 

科目: 来源:《第1章 集合与函数概念》2013年单元测试卷5(解析版) 题型:填空题

设指数函数f(x)=ax,(a>0且a≠1),对于任意x,y∈R,下列算式中:
①f(x+y)=f(x)•f(y)
②f(xy)=f(x)+f(y)
③f(x-y)=
④f(nx)=fn(x)
⑤f[(xy)n]=fn(x)•fn(y)
其中不正确的是    .(只需填上所有不正确的题号)

查看答案和解析>>

科目: 来源:《第1章 集合与函数概念》2013年单元测试卷5(解析版) 题型:解答题

已知全集U={x|x≤4},集合A={x|2x+4<0},B={x|x2+2x-3≤0},①求∁UA;②∁U(A∩B)

查看答案和解析>>

科目: 来源:《第1章 集合与函数概念》2013年单元测试卷5(解析版) 题型:解答题

求函数y=的定义域、值域和单调区间.

查看答案和解析>>

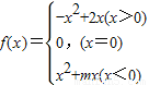
科目: 来源:《第1章 集合与函数概念》2013年单元测试卷5(解析版) 题型:解答题

已知奇函数
(1)求实数m的值,并在给出的直角坐标系中画出y=f(x)的图象.
(2)若函数f(x)在区间[-1,|a|-2]上单调递增,试确定a的取值范围.

查看答案和解析>>

科目: 来源:《第1章 集合与函数概念》2013年单元测试卷5(解析版) 题型:解答题

某民营企业生产A,B两种产品,根据市场调查和预测,A产品的利润与投资成正比,其关系如图1,B产品的利润与投资的算术平方根成正比,其关系如图2(注:利润与投资单位是万元)
(1)分别将A,B两种产品的利润表示为投资的函数,并写出它们的函数关系式.
(2)该企业已筹集到10万元资金,并全部投入A,B两种产品的生产,问:怎样分配这10万元投资,才能使企业获得最大利润,其最大利润约为多少万元.(精确到1万元).

查看答案和解析>>

科目: 来源:《第1章 集合与函数概念》2013年单元测试卷5(解析版) 题型:解答题

已知定义在R上的函数f(x)对任意实数x、y恒有f(x)+f(y)=f(x+y),且当x>0时,f(x)<0,又f(1)=
(1)求证f(x)为奇函数;
(2)求证:f(x)为R上的减函数;
(3)解关于x的不等式:.(其中b>2)

查看答案和解析>>

科目: 来源:《第1章 集合与函数概念》2013年单元测试卷5(解析版) 题型:解答题

已知函数
(1)当0<a<b且f(a)=f(b)时,求证:ab>1;
(2)是否存在实数a,b(a<b),使得函数y=f(x)的定义域、值域都是[a,b],若存在,则求出a,b的值;若不存在,请说明理由.

查看答案和解析>>

科目: 来源:《2.1 指数函数》2013年同步练习3(解析版) 题型:选择题

若指数函数f(x)=(a+1)x是R上的减函数,那么a的取值范围为( )
A.a<2
B.a>2
C.-1<a<0
D.0<a<1

查看答案和解析>>

科目: 来源:《2.1 指数函数》2013年同步练习3(解析版) 题型:选择题

函数y=ax-(b+1)(a>0且a≠1)的图象在第一、三、四象限,则必有( )
A.0<a<1,b>0
B.0<a<1,b<0
C.a>1,b<1
D.a>1,b>0

查看答案和解析>>

科目: 来源:《2.1 指数函数》2013年同步练习3(解析版) 题型:选择题

函数y=(1-x的单调递增区间是( )
A.R
B.(0,+∞)
C.(1,+∞)
D.(0,1)

查看答案和解析>>

同步练习册答案