相关习题
 0  81072  81080  81086  81090  81096  81098  81102  81108  81110  81116  81122  81126  81128  81132  81138  81140  81146  81150  81152  81156  81158  81162  81164  81166  81167  81168  81170  81171  81172  81174  81176  81180  81182  81186  81188  81192  81198  81200  81206  81210  81212  81216  81222  81228  81230  81236  81240  81242  81248  81252  81258  81266  266669 

科目: 来源:2012-2013学年黑龙江省大庆实验中学高一(下)期中数学试卷(解析版) 题型:填空题

设a为锐角,若cos(a+)=,则sin(2a+)的值为   

查看答案和解析>>

科目: 来源:2012-2013学年黑龙江省大庆实验中学高一(下)期中数学试卷(解析版) 题型:解答题

解关于x的一元二次不等式x2-(2+a)x+2a>0.

查看答案和解析>>

科目: 来源:2012-2013学年黑龙江省大庆实验中学高一(下)期中数学试卷(解析版) 题型:解答题

若f(x)=sinxcosx+2cos2x,x∈R.
(Ⅰ)求函数f(x)的最小正周期;
(Ⅱ)求f(x)的最小值及相应x的取值集合.

查看答案和解析>>

科目: 来源:2012-2013学年黑龙江省大庆实验中学高一(下)期中数学试卷(解析版) 题型:解答题

已知数列{an}的前n项之和,求数列{|an|}的前n项和Tn

查看答案和解析>>

科目: 来源:2012-2013学年黑龙江省大庆实验中学高一(下)期中数学试卷(解析版) 题型:解答题

在锐角△ABC中,角A,B,C的对边分别为a,b,c,已知=2csinA.
(1)求角C;
(2)若c=2,△ABC 的面积为,求a,b的值.

查看答案和解析>>

科目: 来源:2012-2013学年黑龙江省大庆实验中学高一(下)期中数学试卷(解析版) 题型:解答题

设数列{an}的前n项和为Sn,若对于任意的n∈N*,都有Sn=2an-n.
(Ⅰ)求数列{an}的通项公式; 
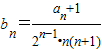
(Ⅱ)令,求数列{bn}的前n项和Tn

查看答案和解析>>

科目: 来源:2012-2013学年黑龙江省大庆实验中学高一(下)期中数学试卷(解析版) 题型:解答题

已知a1=9,点(an,an+1)在函数f(x)=x2+2x的图象上,其中n∈N*,设bn=lg(1+an).
(Ⅰ) 证明数列{bn}是等比数列;
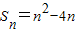
(Ⅱ) 设cn=nbn,求数列{cn}的前n项和Sn
(Ⅲ) 设,求数列{dn}的前n项和Dn

查看答案和解析>>

科目: 来源:2008-2009学年北京市崇文区高二(上)期末数学试卷(文科)(解析版) 题型:选择题

已知等差数列{an}中,a7+a9=8,则a8的值等于( )
A.1
B.2
C.3
D.4

查看答案和解析>>

科目: 来源:2008-2009学年北京市崇文区高二(上)期末数学试卷(文科)(解析版) 题型:选择题

命题p:?x∈R,x2+1≤0的否定是( )
A.¬p:?x∈R,x2+1≥0
B.¬p:?x∈R,x2+1≥0
C.¬p:?x∈R,x2+1>0
D.¬p:?x∈R,x2+1>0

查看答案和解析>>

科目: 来源:2008-2009学年北京市崇文区高二(上)期末数学试卷(文科)(解析版) 题型:选择题

如果质点按规律(距离单位:m,时间单位:s)运动,则质点在2s时的瞬时速度为( )
A.2m/s
B.1m/s
C.0.5m/s
D.0.25m/s

查看答案和解析>>

同步练习册答案