相关习题
 0  81073  81081  81087  81091  81097  81099  81103  81109  81111  81117  81123  81127  81129  81133  81139  81141  81147  81151  81153  81157  81159  81163  81165  81167  81168  81169  81171  81172  81173  81175  81177  81181  81183  81187  81189  81193  81199  81201  81207  81211  81213  81217  81223  81229  81231  81237  81241  81243  81249  81253  81259  81267  266669 

科目: 来源:2012-2013学年黑龙江省大庆实验中学高一(下)期中数学试卷(解析版) 题型:选择题

函数y=sinx-sin(x-)的一个单调增区间是( )
A.[]
B.[]
C.[]
D.[]

查看答案和解析>>

科目: 来源:2012-2013学年黑龙江省大庆实验中学高一(下)期中数学试卷(解析版) 题型:选择题

在△ABC中,c=,b=,B=60°,则a等于( )
A.
B.2
C.
D.

查看答案和解析>>

科目: 来源:2012-2013学年黑龙江省大庆实验中学高一(下)期中数学试卷(解析版) 题型:选择题

在等差数列{an}中,a4+a10=4,则前13项之和S13等于( )
A.26
B.13
C.52
D.156

查看答案和解析>>

科目: 来源:2012-2013学年黑龙江省大庆实验中学高一(下)期中数学试卷(解析版) 题型:选择题

在锐角△ABC中,B=2A,则的取值范围是( )
A.(-2,2)
B.(,2)
C.(0,
D.(

查看答案和解析>>

科目: 来源:2012-2013学年黑龙江省大庆实验中学高一(下)期中数学试卷(解析版) 题型:选择题

已知等差数列{an}中,Sn是前n项和,若S18>0,且S19<0,则当Sn最大时,n的值为( )
A.16
B.8
C.9
D.10

查看答案和解析>>

科目: 来源:2012-2013学年黑龙江省大庆实验中学高一(下)期中数学试卷(解析版) 题型:选择题

设a>0,b>0,若3是3a与3b的等比中项,则的最小值为( )
A.8
B.
C.4
D.

查看答案和解析>>

科目: 来源:2012-2013学年黑龙江省大庆实验中学高一(下)期中数学试卷(解析版) 题型:选择题

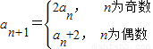
已知数列{an}满足a1=1,,且a1+a3+a5+…+a2k-1=3049,则正整数k的值为( )
A.11
B.8
C.10
D.9

查看答案和解析>>

科目: 来源:2012-2013学年黑龙江省大庆实验中学高一(下)期中数学试卷(解析版) 题型:填空题

=   

查看答案和解析>>

科目: 来源:2012-2013学年黑龙江省大庆实验中学高一(下)期中数学试卷(解析版) 题型:填空题

已知关于x的不等式x2+px+q<0的解集为(),则qx2+px+1>0的解集为   

查看答案和解析>>

科目: 来源:2012-2013学年黑龙江省大庆实验中学高一(下)期中数学试卷(解析版) 题型:填空题

数列1,1+2,1+2+2,1+2+22+23,…,1+2+22+…+2n-1,…的前n项和是Sn,那么S9的值是   

查看答案和解析>>

同步练习册答案