相关习题
 0  81084  81092  81098  81102  81108  81110  81114  81120  81122  81128  81134  81138  81140  81144  81150  81152  81158  81162  81164  81168  81170  81174  81176  81178  81179  81180  81182  81183  81184  81186  81188  81192  81194  81198  81200  81204  81210  81212  81218  81222  81224  81228  81234  81240  81242  81248  81252  81254  81260  81264  81270  81278  266669 

科目: 来源:2012-2013学年四川省成都七中高一(下)期末数学试卷(解析版) 题型:选择题

已知a<b<0,则下列不等式正确的是( )
A.a2<b2
B.2a<2b
C.ab<b2
D.

查看答案和解析>>

科目: 来源:2012-2013学年四川省成都七中高一(下)期末数学试卷(解析版) 题型:选择题

某几何体的正视图和侧视图均如图所示,则该几何体的俯视图不可能是( )
A.
B.
C.
D.

查看答案和解析>>

科目: 来源:2012-2013学年四川省成都七中高一(下)期末数学试卷(解析版) 题型:选择题

等差数列{an}的前n项和为Sn,若S2=2,S4=10,则S6等于( )
A.12
B.18
C.24
D.42

查看答案和解析>>

科目: 来源:2012-2013学年四川省成都七中高一(下)期末数学试卷(解析版) 题型:选择题

已知圆x2+y2=r2在曲线|x|+|y|=4的内部,则半径r的范围是( )
A.0<r<2
B.0<r<
C.0<r<2
D.0<r<4

查看答案和解析>>

科目: 来源:2012-2013学年四川省成都七中高一(下)期末数学试卷(解析版) 题型:选择题

如图,要测出山上石油钻井的井架BC的高,从山脚A测得AC=60m,塔顶B的仰角α=45°,塔底C的仰角15°,则井架的高BC为( )

A.m
B.m
C.m
D.m

查看答案和解析>>

科目: 来源:2012-2013学年四川省成都七中高一(下)期末数学试卷(解析版) 题型:选择题

若实数x,y满足约束条件的最大值为( )
A.
B.11
C.0
D.9

查看答案和解析>>

科目: 来源:2012-2013学年四川省成都七中高一(下)期末数学试卷(解析版) 题型:选择题

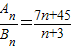
已知两个等差数列{an}和{bn}的前n项和分别为An和Bn,且,则使得为整数的正整数n的个数是( )
A.2
B.3
C.4
D.5

查看答案和解析>>

科目: 来源:2012-2013学年四川省成都七中高一(下)期末数学试卷(解析版) 题型:选择题

设△ABC的内角A,B,C的对边分别为a,b,c,若a=(b+c)cosC,则△ABC的形状是( )
A.等腰三角形
B.等边三角形
C.直角三角形
D.锐角三角形

查看答案和解析>>

科目: 来源:2012-2013学年四川省成都七中高一(下)期末数学试卷(解析版) 题型:选择题

已知直线l1:ax-y+1=0与l2:x+ay+1=0,给出如下结论:
①不论a为何值时,l1与l2都互相垂直;
②当a变化时,l1与l2分别经过定点A(0,1)和B(-1,0);
③不论a为何值时,l1与l2都关于直线x+y=0对称;
④当a变化时,l1与l2的交点轨迹是以AB为直径的圆(除去原点).
其中正确的结论有( )
A.①③
B.①②④
C.①③④
D.①②③④

查看答案和解析>>

科目: 来源:2012-2013学年四川省成都七中高一(下)期末数学试卷(解析版) 题型:选择题

在△ABC中,E,F分别是AC,AB的中点,且3AB=2AC,若恒成立,则t的最小值为( )
A.
B.
C.1
D.

查看答案和解析>>

同步练习册答案