相关习题
 0  81141  81149  81155  81159  81165  81167  81171  81177  81179  81185  81191  81195  81197  81201  81207  81209  81215  81219  81221  81225  81227  81231  81233  81235  81236  81237  81239  81240  81241  81243  81245  81249  81251  81255  81257  81261  81267  81269  81275  81279  81281  81285  81291  81297  81299  81305  81309  81311  81317  81321  81327  81335  266669 

科目: 来源:《第2章 基本初等函数(Ⅰ)》2013年同步练习(解析版) 题型:选择题

已知c<0,则下列不等式中成立的一个是( )
A.c>2c
B.
C.
D.

查看答案和解析>>

科目: 来源:《第2章 基本初等函数(Ⅰ)》2013年同步练习(解析版) 题型:选择题

给出函数f(x)=则f(log23)等于( )
A.-
B.
C.
D.

查看答案和解析>>

科目: 来源:《第2章 基本初等函数(Ⅰ)》2013年同步练习(解析版) 题型:选择题

已知0<m<n<1,则指数函数①y=mx,②y=nx的图象为( )
A.
B.
C.
D.

查看答案和解析>>

科目: 来源:《第2章 基本初等函数(Ⅰ)》2013年同步练习(解析版) 题型:选择题

若定义在(-1,0)内的函数f(x)=log2a(x+1)>0,则a的取值范围是( )
A.
B.
C.
D.(0,+∞)

查看答案和解析>>

科目: 来源:《第2章 基本初等函数(Ⅰ)》2013年同步练习(解析版) 题型:选择题

设a=log0.50.8,b=log1.10.8,c=1.10.8,则a,b,c的大小关系为( )
A.a<b<c
B.b<a<c
C.b<c<a
D.a<c<b

查看答案和解析>>

科目: 来源:《第2章 基本初等函数(Ⅰ)》2013年同步练习(解析版) 题型:填空题

已知函数y=loga(x+b)的图象如图所示,则a,b的值分别为       

查看答案和解析>>

科目: 来源:《第2章 基本初等函数(Ⅰ)》2013年同步练习(解析版) 题型:填空题

已知=   

查看答案和解析>>

科目: 来源:《第2章 基本初等函数(Ⅰ)》2013年同步练习(解析版) 题型:填空题

已知函数f(x)=ax在x∈[-2,2]上恒有f(x)<2,则实数a的取值范围为   

查看答案和解析>>

科目: 来源:《第2章 基本初等函数(Ⅰ)》2013年同步练习(解析版) 题型:填空题

对于下列结论:
①函数y=ax+2(x∈R)的图象可以由函数y=ax(a>0且a≠1)的图象平移得到;
②函数y=2x与函数y=log2x的图象关于y轴对称;
③方程log5(2x+1)=log5(x2-2)的解集为{-1,3};
④函数y=ln(1+x)-ln(1-x)为奇函数.
其中正确的结论是    (把你认为正确结论的序号都填上).

查看答案和解析>>

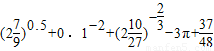
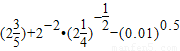
科目: 来源:《第2章 基本初等函数(Ⅰ)》2013年同步练习(解析版) 题型:解答题

计算下列各式:
(1)
(2)

查看答案和解析>>

同步练习册答案