相关习题
 0  81165  81173  81179  81183  81189  81191  81195  81201  81203  81209  81215  81219  81221  81225  81231  81233  81239  81243  81245  81249  81251  81255  81257  81259  81260  81261  81263  81264  81265  81267  81269  81273  81275  81279  81281  81285  81291  81293  81299  81303  81305  81309  81315  81321  81323  81329  81333  81335  81341  81345  81351  81359  266669 

科目: 来源:2012-2013学年黑龙江省大庆市铁人中学高一(上)期末数学试卷(解析版) 题型:选择题

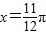
若函数f(x)=sin(ωx+φ)的图象(部分)如图所示,则ω和φ的取值是( )
A.ω=1,φ=
B.ω=1,φ=-
C.ω=,φ=
D.ω=,φ=-

查看答案和解析>>

科目: 来源:2012-2013学年黑龙江省大庆市铁人中学高一(上)期末数学试卷(解析版) 题型:选择题

已知是R上的减函数,则a的取值范围是( )
A.(0,1)
B.
C.
D.

查看答案和解析>>

科目: 来源:2012-2013学年黑龙江省大庆市铁人中学高一(上)期末数学试卷(解析版) 题型:选择题

若3sinα+cosα=0,则的值为( )
A.
B.
C.
D.-2

查看答案和解析>>

科目: 来源:2012-2013学年黑龙江省大庆市铁人中学高一(上)期末数学试卷(解析版) 题型:选择题

如果一个函数f(x)满足(1)定义域为R;(2)任意x1,x2∈R,若x1+x2=0,则f(x1)+f(x2)=0;(3)任意x∈R,若t>0,f(x+t)>f(x).则f(x)可以是( )
A.y=-
B.y=3x
C.y=x3
D.y=log3

查看答案和解析>>

科目: 来源:2012-2013学年黑龙江省大庆市铁人中学高一(上)期末数学试卷(解析版) 题型:选择题

设函数f(x)在(-∞,+∞)上满足以x=2,x=7为对称轴,且在[0,7]上只有f(1)=f(3)=0,试求方程f(x)=0在[-2012,2012]根的个数为( )
A.803个
B.804个
C.805个
D.806个

查看答案和解析>>

科目: 来源:2012-2013学年黑龙江省大庆市铁人中学高一(上)期末数学试卷(解析版) 题型:填空题

函数的最大值和最小值分别为M,m,则M+m=   

查看答案和解析>>

科目: 来源:2012-2013学年黑龙江省大庆市铁人中学高一(上)期末数学试卷(解析版) 题型:填空题

设0≤x≤2,则函数y=22x-1-3×2x+5的最大值是   

查看答案和解析>>

科目: 来源:2012-2013学年黑龙江省大庆市铁人中学高一(上)期末数学试卷(解析版) 题型:填空题

函数f(x)定义域为C,若满足①f(x)在C内是单调函数;②存在[m,n]⊆D使f(x)在[m,n]上的值域为[],那么就称y=f(x)为“希望函数”,若函数f(x)=loga(ax+t)(a>0,a≠1)是“希望函数”,则t取值范围为   

查看答案和解析>>

科目: 来源:2012-2013学年黑龙江省大庆市铁人中学高一(上)期末数学试卷(解析版) 题型:填空题

函数的图象为C,如下结论中正确的是    .(写出所有正确结论的编号)
①图象C关于直线对称;
②图象C关于点对称;
③函数f(x)在区间内是增函数;
④由y=3sin2x的图角向右平移个单位长度可以得到图象C.

查看答案和解析>>

科目: 来源:2012-2013学年黑龙江省大庆市铁人中学高一(上)期末数学试卷(解析版) 题型:解答题

已知α,β均为锐角,sinα=,cosβ=,求α-β的值.

查看答案和解析>>

同步练习册答案