相关习题
 0  81263  81271  81277  81281  81287  81289  81293  81299  81301  81307  81313  81317  81319  81323  81329  81331  81337  81341  81343  81347  81349  81353  81355  81357  81358  81359  81361  81362  81363  81365  81367  81371  81373  81377  81379  81383  81389  81391  81397  81401  81403  81407  81413  81419  81421  81427  81431  81433  81439  81443  81449  81457  266669 

科目: 来源:2012-2013学年江苏省扬州市江都市甘棠中学高一(下)期中数学试卷(解析版) 题型:填空题

直线过点(-3,-2)且在两坐标轴上的截距相等,则这条直线方程为   

查看答案和解析>>

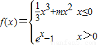
科目: 来源:2012-2013学年江苏省扬州市江都市甘棠中学高一(下)期中数学试卷(解析版) 题型:填空题

函数f(x)=点x=1处可导,则a=    ,b=   

查看答案和解析>>

科目: 来源:2012-2013学年江苏省扬州市江都市甘棠中学高一(下)期中数学试卷(解析版) 题型:解答题

若函数y=f(x)在x=a及x=b之间的一段图象可以近似地看作直线,且a≤c≤b,求证:f(c)≈f(a)+

查看答案和解析>>

科目: 来源:2012-2013学年江苏省扬州市江都市甘棠中学高一(下)期中数学试卷(解析版) 题型:解答题

如图,已知正方体ABCD-A1B1C1D1,AD1与A1D相交于点 O.
(1)判断AD1与平面A1B1CD的位置关系,并证明;
(2)求直线AB1与平面A1B1CD所成的角.

查看答案和解析>>

科目: 来源:2012-2013学年江苏省扬州市江都市甘棠中学高一(下)期中数学试卷(解析版) 题型:解答题

已知函数
(1)讨论函数f(x)的极值情况;
(2)设g(x)=ln(x+1),当x1>x2>0时,试比较f(x1-x2)与g(x1-x2)及g(x1)-g(x2)三者的大小;并说明理由.

查看答案和解析>>

科目: 来源:2012-2013学年江苏省扬州市江都市甘棠中学高一(下)期中数学试卷(解析版) 题型:解答题

设函数f(x)=-
(Ⅰ)求f(x)的单调区间;
(Ⅱ)求f(x)的值域.

查看答案和解析>>

科目: 来源:2012-2013学年江苏省扬州市江都市甘棠中学高一(下)期中数学试卷(解析版) 题型:解答题

已知函数f(x)=+blnx+c(a>0)的图象在点(1,f(1))处的切线方程为x-y-2=0.
(I)用a表示b,c;
(II)若函数g(x)=x-f(x)在x∈(0,1]上的最大值为2,求实数a的取值范围.

查看答案和解析>>

科目: 来源:2012-2013学年江苏省扬州市江都市甘棠中学高一(下)期中数学试卷(解析版) 题型:解答题

已知圆C与两坐标轴都相切,圆心C到直线y=-x的距离等于
(1)求圆C的方程;
(2)若圆心在第一象限,点P是圆C上的一个动点,求x2+y2的取值范围.

查看答案和解析>>

科目: 来源:2012-2013学年江苏省盐城市东台市唐洋中学高二(下)期中数学试卷(理科)(解析版) 题型:填空题

函数y=xex+1在点(0,1)处的切线方程为   

查看答案和解析>>

科目: 来源:2012-2013学年江苏省盐城市东台市唐洋中学高二(下)期中数学试卷(理科)(解析版) 题型:填空题

观察下列等式:,…,照此规律,计算1×2+2×3+…+n(n+1)=    (n∈N*).

查看答案和解析>>

同步练习册答案