相关习题
0 81295 81303 81309 81313 81319 81321 81325 81331 81333 81339 81345 81349 81351 81355 81361 81363 81369 81373 81375 81379 81381 81385 81387 81389 81390 81391 81393 81394 81395 81397 81399 81403 81405 81409 81411 81415 81421 81423 81429 81433 81435 81439 81445 81451 81453 81459 81463 81465 81471 81475 81481 81489 266669
科目:
来源:2011-2012学年江西省赣州市南康二中高三(上)数学周练试卷(26-29班)(10.7)(解析版)
题型:解答题
设定函数

,且方程f′(x)-9x=0的两个根分别为1,4.
(Ⅰ)当a=3且曲线y=f(x)过原点时,求f(x)的解析式;
(Ⅱ)若f(x)在(-∞,+∞)无极值点,求a的取值范围.
查看答案和解析>>
科目:
来源:2011-2012学年江西省赣州市南康二中高三(上)数学周练试卷(26-29班)(10.7)(解析版)
题型:解答题
已知函数f(x)=ax
2-|x|+2a-1(a为实数)

(1)若 a=1,求函数的单调增区间;
(2)设f(x)在区间[1,2]上的最小值为g(a),求g(a)的表达式.
查看答案和解析>>
科目:
来源:2011-2012学年江西省赣州市南康二中高三(上)数学周练试卷(26-29班)(10.7)(解析版)
题型:解答题
某森林出现火灾,火势正以每分钟100m2的速度顺风蔓延,消防站接到警报立即派消防员前去,在火灾发生后五分钟到达救火现场,已知消防队员在现场平均每人每分钟灭火50m2,所消耗的灭火材料、劳务津贴等费用为每人每分钟125元,另附加每次救火所耗损的车辆、器械和装备等费用平均每人100元,而烧毁1m2森林损失费为60元,(t表示救火时间,x表示去救火消防队员人数),问;
(1)求t关于x的函数表达式.
(2)求应该派多少消防队员前去救火,才能使总损失最少?
查看答案和解析>>
科目:
来源:2011-2012学年江西省赣州市南康二中高三(上)数学周练试卷(26-29班)(10.7)(解析版)
题型:解答题
已知a>1,f(log
ax)=

.
(1)求f(x)的解析式;
(2)证明f(x)为R上的增函数;
(3)若当x∈(-1,1)时,有f(1-m)+f(1-m
2)<0,求m的集合M.
查看答案和解析>>
科目:
来源:2011-2012学年江西省赣州市南康二中高三(上)数学周练试卷(26-29班)(10.7)(解析版)
题型:解答题
已知函数f(x)=x2+mx+nlnx(x>0,实数m,n为常数).
(1)若n+3m2=0(m>0),且函数f(x)在x∈[1,+∞)上的最小值为0,求m的值;
(2)若对于任意的实数a∈[1,2],b-a=1,函数f(x)在区间(a,b)上总是减函数,对每个给定的n,求m的最大值h(n).
查看答案和解析>>
科目:
来源:2011-2012学年天津市五区县高三(上)期末数学试卷(文科)(解析版)
题型:选择题
“x=3”是“x2=9”的( )
A.充分而不必要的条件
B.必要而不充分的条件
C.充要条件
D.既不充分也不必要的条件
查看答案和解析>>
科目:
来源:2011-2012学年天津市五区县高三(上)期末数学试卷(文科)(解析版)
题型:选择题
已知i是虚数单位,则复数z=1+2i+3i2所对应的点落在( )
A.第一象限
B.第二象限
C.第三象限
D.第四象限
查看答案和解析>>
科目:
来源:2011-2012学年天津市五区县高三(上)期末数学试卷(文科)(解析版)
题型:选择题
已知等差数列{an}中,a1=-1,a2=2,则 a4+a5=( )
A.3
B.8
C.14
D.19
查看答案和解析>>
科目:
来源:2011-2012学年天津市五区县高三(上)期末数学试卷(文科)(解析版)
题型:选择题
圆x2+y2-ax+2=0与直线l相切于点A(3,1),则直线l的方程为( )
A.2x-y-5=0
B.x-2y-1=0
C.x-y-2=0
D.x+y-4=0
查看答案和解析>>
科目:
来源:2011-2012学年天津市五区县高三(上)期末数学试卷(文科)(解析版)
题型:选择题

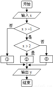
如图,是计算函数y=

的值的程序框图,则在①、②、③处应分别填入的是( )
A.y=-x,y=0,y=x
2B.y=-x,y=x
2,y=0
C.y=0,y=x
2,y=-
D.y=0,y=-x,y=x
2
查看答案和解析>>