相关习题
0 81296 81304 81310 81314 81320 81322 81326 81332 81334 81340 81346 81350 81352 81356 81362 81364 81370 81374 81376 81380 81382 81386 81388 81390 81391 81392 81394 81395 81396 81398 81400 81404 81406 81410 81412 81416 81422 81424 81430 81434 81436 81440 81446 81452 81454 81460 81464 81466 81472 81476 81482 81490 266669
科目:
来源:2011-2012学年江西省赣州市南康二中高三(上)数学周练试卷(26-29班)(10.7)(解析版)
题型:选择题
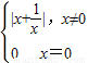
已知函数y=

,则下列四个命题中错误的是( )
A.该函数图象关于点(1,1)对称
B.该函数的图象关于直线y=2-x对称
C.该函数在定义域内单调递减
D.将该函数图象向左平移一个单位长度,再向下平移一个单位长度后与函数y=

的图象重合
查看答案和解析>>
科目:
来源:2011-2012学年江西省赣州市南康二中高三(上)数学周练试卷(26-29班)(10.7)(解析版)
题型:选择题
如图所示,单位圆中

的长为x,f(x)表示弧

与弦AB所围成的弓形面积的2倍,则函数y=f(x)的图象是( )

A.

B.

C.

D.

查看答案和解析>>
科目:
来源:2011-2012学年江西省赣州市南康二中高三(上)数学周练试卷(26-29班)(10.7)(解析版)
题型:选择题
设函数f(x)的定义域为D,如果对于任意的x
1∈D,存在唯一的x
2∈D,使得

成立(其中C为常数),则称函数y=f(x)在D上的均值为C,现在给出下列4个函数:①y=x
3②y=4sinx③y=lgx④y=2
x,则在其定义域上的均值为 2的所有函数是下面的( )
A.①②
B.③④
C.①③④
D.①③
查看答案和解析>>
科目:
来源:2011-2012学年江西省赣州市南康二中高三(上)数学周练试卷(26-29班)(10.7)(解析版)
题型:选择题
已知函数f(x)=

,则关于x的方程f
2(x)+bf(x)+c=0有5个不同实数解的充要条件是( )
A.b<-2且c>0
B.b>-2且c<0
C.b<-2且c=0
D.b≥-2且c=0
查看答案和解析>>
科目:
来源:2011-2012学年江西省赣州市南康二中高三(上)数学周练试卷(26-29班)(10.7)(解析版)
题型:填空题
计算定积分

cos2xdx的值是
.
查看答案和解析>>
科目:
来源:2011-2012学年江西省赣州市南康二中高三(上)数学周练试卷(26-29班)(10.7)(解析版)
题型:填空题
函数y=f(x)的图象与

的图象关于直线y=x对称,则f(x)的解析式
.
查看答案和解析>>
科目:
来源:2011-2012学年江西省赣州市南康二中高三(上)数学周练试卷(26-29班)(10.7)(解析版)
题型:填空题
函数f(x)=ln(-x2+2x+8)的单调增区间是 .
查看答案和解析>>
科目:
来源:2011-2012学年江西省赣州市南康二中高三(上)数学周练试卷(26-29班)(10.7)(解析版)
题型:填空题
设定义在R的函数f(x)同时满足以下条件:①f(x)+f(-x)=0;②f(x)=f(x+2);③当0≤x<1时,f(x)=2
x-1.则

=
.
查看答案和解析>>
科目:
来源:2011-2012学年江西省赣州市南康二中高三(上)数学周练试卷(26-29班)(10.7)(解析版)
题型:填空题
设曲线y=(ax-1)e
x在点A(x
,y
1)处的切线为l
1,曲线y=(1-x)e
-x在点B(x
,y
2)处的切线为l
2.若存在

,使得l
1⊥l
2,则实数a的取值范围为
.
查看答案和解析>>
科目:
来源:2011-2012学年江西省赣州市南康二中高三(上)数学周练试卷(26-29班)(10.7)(解析版)
题型:解答题
记函数f(x)=lg(x
2-x-2)的定义域为集合A,函数

的定义域为集合B.
(1)求A∩B和A∪B;
(2)若C={x|4x+p<0},C⊆A,求实数p的取值范围.
查看答案和解析>>