相关习题
 0  81460  81468  81474  81478  81484  81486  81490  81496  81498  81504  81510  81514  81516  81520  81526  81528  81534  81538  81540  81544  81546  81550  81552  81554  81555  81556  81558  81559  81560  81562  81564  81568  81570  81574  81576  81580  81586  81588  81594  81598  81600  81604  81610  81616  81618  81624  81628  81630  81636  81640  81646  81654  266669 

科目: 来源:2012-2013学年广东省汕头市高三(上)期末数学试卷(文科)(解析版) 题型:解答题

已知:函数的最小正周期为3π.
(1)求函数f(x)的解析式;
(2)在△ABC中,若f(C)=1,且2sin2B=cosB+cos(A-C),求sinA的值.

查看答案和解析>>

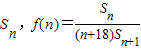
科目: 来源:2012-2013学年广东省汕头市高三(上)期末数学试卷(文科)(解析版) 题型:解答题

已知正项等差数列{an}中,a1=1,且a3,a7+2,3a9成等比数列.
(1)求数列{an}的通项公式;
(2)设{an}的前n项和为,试问当n为何值时,f(n)最大,并求出f(n)的最大值.

查看答案和解析>>

科目: 来源:2012-2013学年广东省汕头市高三(上)期末数学试卷(文科)(解析版) 题型:解答题

在如图所示的几何体中,平面ACE⊥平面ABCD,四边形ABCD为平行四边形,∠ACB=90°,EF∥BC,,AE=EC=1.
(1)求证:AE⊥平面BCEF;
(2)求三棱锥D-ACF的体积.

查看答案和解析>>

科目: 来源:2012-2013学年广东省汕头市高三(上)期末数学试卷(文科)(解析版) 题型:解答题

某种上市股票在30天内每股的交易价格P(元)、日交易量Q(万股)与时间t(天)的对应关系分别如下:[有序数对(t,P)落在图中的折线上,日交易量Q(万股)与时间t(天)的部分数据如表所示.]
第t天4101622
Q(万股)36302418
(1)根据图甲的图象,写出该种股票每股交易价格P(元)与时间t(天)所满足的函数关系式;
(2)根据表中数据确定日交易量Q(万股)与时间t(天)的一次函数关系式;
(3)用y(万元)表示该股票日交易额,写出y关于t的函数关系式,并求这30天中第几天日交易额最大,最大值为多少?
(注:各函数关系式都要写出定义域.)

查看答案和解析>>

科目: 来源:2012-2013学年广东省汕头市高三(上)期末数学试卷(文科)(解析版) 题型:解答题

设函数f(x)=(x-a)ex+(a-1)x+a,a∈R.
(1)当a=1时,求f(x)的单调区间;
(2)(i)设g(x)是f(x)的导函数,证明:当a>2时,在(0,+∞)上恰有一个x使得g(x)=0;
(ii)求实数a的取值范围,使得对任意的x∈[0,2],恒有f(x)≤0成立.注:e为自然对数的底数.

查看答案和解析>>

科目: 来源:2012-2013学年江苏省连云港市高三(上)期末数学试卷(解析版) 题型:填空题

设集合A={1,2,3},B={2,4,6},则A∩B=   

查看答案和解析>>

科目: 来源:2012-2013学年江苏省连云港市高三(上)期末数学试卷(解析版) 题型:填空题

已知i为虚数单位,复数z满足(1-i)z=2,则z=   

查看答案和解析>>

科目: 来源:2012-2013学年江苏省连云港市高三(上)期末数学试卷(解析版) 题型:填空题

某单位有职工52人,现将所有职工按l、2、3、…、52随机编号,若采用系统抽样的方法抽取一个容量为4的样本,已知6号、32号、45号职工在样本中,则样本中还有一个职工的编号是   

查看答案和解析>>

科目: 来源:2012-2013学年江苏省连云港市高三(上)期末数学试卷(解析版) 题型:填空题

正项等比数列{an}中,a3a11=16,则log2a2+log2a12=   

查看答案和解析>>

科目: 来源:2012-2013学年江苏省连云港市高三(上)期末数学试卷(解析版) 题型:填空题

在数字1、2、3、4四个数中,任取两个不同的数,其和大于积的概率是   

查看答案和解析>>

同步练习册答案