相关习题
 0  81492  81500  81506  81510  81516  81518  81522  81528  81530  81536  81542  81546  81548  81552  81558  81560  81566  81570  81572  81576  81578  81582  81584  81586  81587  81588  81590  81591  81592  81594  81596  81600  81602  81606  81608  81612  81618  81620  81626  81630  81632  81636  81642  81648  81650  81656  81660  81662  81668  81672  81678  81686  266669 

科目: 来源:2012-2013学年山东省淄博一中高二(上)期中数学试卷(文科)(解析版) 题型:选择题

已知x>0,y>0,3xy-x-4y=4,则xy有( )
A.最大值4
B.最小值4
C.最大值
D.最小值

查看答案和解析>>

科目: 来源:2012-2013学年山东省淄博一中高二(上)期中数学试卷(文科)(解析版) 题型:选择题

已知关于x的不等式(a2-4)x2+(a-2)x-1<0的解集R,则实数a的取值范围是( )
A.-2<a<
B.-<a<2
C.-<a≤2
D.-2≤a<

查看答案和解析>>

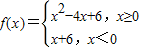
科目: 来源:2012-2013学年山东省淄博一中高二(上)期中数学试卷(文科)(解析版) 题型:选择题

设函数则不等式f(x)>f(1)的解集是( )
A.(-3,1)∪(3,+∞)
B.(-3,1)∪(2,+∞)
C.(-1,1)∪(3,+∞)
D.(-∞,-3)∪(1,3)

查看答案和解析>>

科目: 来源:2012-2013学年山东省淄博一中高二(上)期中数学试卷(文科)(解析版) 题型:选择题

数列{an}中,a1=1,an+1=an+4n-3,则数列{an}的通项公式为( )
A.2n2-n+1
B.2n2-3n+1
C.2n2-5n+4
D.2n2-3n+2

查看答案和解析>>

科目: 来源:2012-2013学年山东省淄博一中高二(上)期中数学试卷(文科)(解析版) 题型:填空题

写出数列9,99,999,9999,…的一个通项公式an=   

查看答案和解析>>

科目: 来源:2012-2013学年山东省淄博一中高二(上)期中数学试卷(文科)(解析版) 题型:填空题

函数f(x)=m-为奇函数,则m=   

查看答案和解析>>

科目: 来源:2012-2013学年山东省淄博一中高二(上)期中数学试卷(文科)(解析版) 题型:填空题

已知{an}为等差数列,a2+a8=,则S9等于   

查看答案和解析>>

科目: 来源:2012-2013学年山东省淄博一中高二(上)期中数学试卷(文科)(解析版) 题型:填空题

设a>,则+的最小值为   

查看答案和解析>>

科目: 来源:2012-2013学年山东省淄博一中高二(上)期中数学试卷(文科)(解析版) 题型:解答题

某工厂用两种不同的原料均可生产同一产品,若采用甲种原料,每吨成本1000元,运费500元,可生产产品90千克;若采用乙种原料,每吨成本1500元,运费400元,可生产产品100千克.若每日预算总成本不得超过6000元,运费不得超过2000元,问此工厂每日最多可生产多少千克产品?

查看答案和解析>>

科目: 来源:2012-2013学年山东省淄博一中高二(上)期中数学试卷(文科)(解析版) 题型:解答题

设等比数列{an}的前n项和为Sn,已知a2=6,6a1+a3=30,求an和Sn

查看答案和解析>>

同步练习册答案