相关习题
 0  81565  81573  81579  81583  81589  81591  81595  81601  81603  81609  81615  81619  81621  81625  81631  81633  81639  81643  81645  81649  81651  81655  81657  81659  81660  81661  81663  81664  81665  81667  81669  81673  81675  81679  81681  81685  81691  81693  81699  81703  81705  81709  81715  81721  81723  81729  81733  81735  81741  81745  81751  81759  266669 

科目: 来源:2012-2013学年甘肃省平凉市静宁县华源中学高三(上)第三次月考数学试卷(文科)(解析版) 题型:解答题

已知向量=(sinωx,cosωx),=( cosωx,cosωx),其中ω>0,记函数f(x)=-已知f(x)的最小正周期为π.
(1)求ω;
(2)求f(x)的单调区间;对称轴方程;对称中心坐标;
(3)当0<x≤时,试求f(x)的最值.

查看答案和解析>>

科目: 来源:2012-2013学年甘肃省平凉市静宁县华源中学高三(上)第三次月考数学试卷(文科)(解析版) 题型:解答题

已知函数f(x)=(x2-a)ex,其中a≥3,e为自然对数的底数.
(1)讨论函数f(x)的单调性;
(2)求函数f(x)在区间[0,1]上的最大值.

查看答案和解析>>

科目: 来源:2012-2013学年广东省东莞市南城中学高三(上)第四次月考数学试卷(文科)(解析版) 题型:选择题

设全集U={1,2,3,4,5,6},设集合P={1,2,3,4},Q={3,4,5},则P∩(∁UQ)=( )
A.{1,2,3,4,6}
B.{1,2,3,4,5}
C.{1,2,5}
D.{1,2}

查看答案和解析>>

科目: 来源:2012-2013学年广东省东莞市南城中学高三(上)第四次月考数学试卷(文科)(解析版) 题型:选择题

设i为虚数单位,则复数=( )
A.-4-3i
B.-4+3i
C.4+3i
D.4-3i

查看答案和解析>>

科目: 来源:2012-2013学年广东省东莞市南城中学高三(上)第四次月考数学试卷(文科)(解析版) 题型:选择题

设x∈R,则“”是“(2x-1)(x+1)>0”的( )
A.充分而不必要条件
B.必要而不充分条件
C.充要条件
D.既不充分也不必要条件

查看答案和解析>>

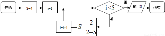
科目: 来源:2012-2013学年广东省东莞市南城中学高三(上)第四次月考数学试卷(文科)(解析版) 题型:选择题

执行如图所示的程序框图,则输出的S的值是( ) 
A.
B.
C.4
D.-1

查看答案和解析>>

科目: 来源:2012-2013学年广东省东莞市南城中学高三(上)第四次月考数学试卷(文科)(解析版) 题型:选择题

平面α截球O的球面所得圆的半径为1,球心O到平面α的距离为,则此球的体积为( )
A.π
B.4π
C.4π
D.6π

查看答案和解析>>

科目: 来源:2012-2013学年广东省东莞市南城中学高三(上)第四次月考数学试卷(文科)(解析版) 题型:选择题

下列函数中,既是偶函数,又在区间(1,2)内是增函数的为( )
A.,x∈R
B.y=x3+1,x∈R
C.y=log2|x|,x∈R且x≠0
D.y=cos2x,x∈R

查看答案和解析>>

科目: 来源:2012-2013学年广东省东莞市南城中学高三(上)第四次月考数学试卷(文科)(解析版) 题型:选择题

如图,正方形ABCD的边长为1,延长BA至E,使AE=1,连接EC、ED,则cos∠CED=( )

A.
B.
C.
D.

查看答案和解析>>

科目: 来源:2012-2013学年广东省东莞市南城中学高三(上)第四次月考数学试卷(文科)(解析版) 题型:选择题

定义在R上的函数f(x)满足f(x+6)=f(x),当-3≤x<-1时,f(x)=-(x+2)2,当-1≤x<3时,f(x)=x.则f(1)+f(2)+f(3)+…+f(2012)=( )
A.335
B.338
C.1678
D.2012

查看答案和解析>>

同步练习册答案