相关习题
 0  81691  81699  81705  81709  81715  81717  81721  81727  81729  81735  81741  81745  81747  81751  81757  81759  81765  81769  81771  81775  81777  81781  81783  81785  81786  81787  81789  81790  81791  81793  81795  81799  81801  81805  81807  81811  81817  81819  81825  81829  81831  81835  81841  81847  81849  81855  81859  81861  81867  81871  81877  81885  266669 

科目: 来源:2012-2013学年山东省聊城三中高三(上)第一次质量检测数学试卷(理科)(解析版) 题型:选择题

函数的定义域为( )
A.(0,+∞)
B.(1,+∞)
C.(0,1)
D.(0,1)∪(1,+∞)

查看答案和解析>>

科目: 来源:2012-2013学年山东省聊城三中高三(上)第一次质量检测数学试卷(理科)(解析版) 题型:选择题

命题“?x∈R,x2-2x+4≤0”的否定为( )
A.?x∈R,x2-2x+4≥0
B.?x∉R,x2-2x+4≤0
C.?x∈R,x2-2x+4>0
D.?x∉R,x2-2x+4>0

查看答案和解析>>

科目: 来源:2012-2013学年山东省聊城三中高三(上)第一次质量检测数学试卷(理科)(解析版) 题型:选择题

下列函数中,既是偶函数又在(0,+∞)单调递增的函数是( )
A.y=x3
B.y=|x|+1
C.y=-x2+1
D.y=2-|x|

查看答案和解析>>

科目: 来源:2012-2013学年山东省聊城三中高三(上)第一次质量检测数学试卷(理科)(解析版) 题型:选择题

设x,y∈R,则“x≥2且y≥2”是“x2+y2≥4”的( )
A.充分而不必要条件
B.必要而不充分条件
C.充分必要条件
D.既不充分也不必要条件

查看答案和解析>>

科目: 来源:2012-2013学年山东省聊城三中高三(上)第一次质量检测数学试卷(理科)(解析版) 题型:选择题

若角α的终边上有一点P(-4,a),且,则a的值为( )
A.3
B.±3
C.或3
D.或-3

查看答案和解析>>

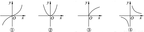
科目: 来源:2012-2013学年山东省聊城三中高三(上)第一次质量检测数学试卷(理科)(解析版) 题型:选择题

下图给出4个幂函数的图象,则图象与函数的大致对应是( )
A.①,②y=x2,③,④y=x-1
B.①y=x3,②y=x2,③,④y=x-1
C.①y=x2,②y=x3,③,④y=x-1
D.①,②,③y=x2,④y=x-1

查看答案和解析>>

科目: 来源:2012-2013学年山东省聊城三中高三(上)第一次质量检测数学试卷(理科)(解析版) 题型:选择题

已知sin,则cos的值是( )
A.-
B.-
C.
D.

查看答案和解析>>

科目: 来源:2012-2013学年山东省聊城三中高三(上)第一次质量检测数学试卷(理科)(解析版) 题型:选择题

函数f(x)=lnx+ln(2-x)+x的单调递增区间为( )
A.
B.
C.(2,+∞)
D.

查看答案和解析>>

科目: 来源:2012-2013学年山东省聊城三中高三(上)第一次质量检测数学试卷(理科)(解析版) 题型:选择题

根据统计,一名工作组装第x件某产品所用的时间(单位:分钟)为(A,C为常数).已知工人组装第4件产品用时30分钟,组装第A件产品用时15分钟,那么C和A的值分别是( )
A.75,25
B.75,16
C.60,25
D.60,16

查看答案和解析>>

科目: 来源:2012-2013学年山东省聊城三中高三(上)第一次质量检测数学试卷(理科)(解析版) 题型:选择题

已知函数f(x)=sinx-cosx,x∈R,若f(x)≥1,则x的取值范围为( )
A.{x|kπ+≤x≤kπ+π,k∈Z}
B.{x|2kπ+≤x≤2kπ+π,k∈Z}
C.{x|kπ+≤x≤kπ+,k∈Z}
D.{x|2kπ+≤x≤2kπ+,k∈Z}

查看答案和解析>>

同步练习册答案