相关习题
 0  81728  81736  81742  81746  81752  81754  81758  81764  81766  81772  81778  81782  81784  81788  81794  81796  81802  81806  81808  81812  81814  81818  81820  81822  81823  81824  81826  81827  81828  81830  81832  81836  81838  81842  81844  81848  81854  81856  81862  81866  81868  81872  81878  81884  81886  81892  81896  81898  81904  81908  81914  81922  266669 

科目: 来源:2012-2013学年福建省莆田八中高二(上)期中数学试卷(理科)(解析版) 题型:选择题

已知(3,1)和(-4,6)在直线3x-2y+a=0的两侧,则a的取值范围是( )
A.a<1或a>24
B.a=7或a=24
C.-7<a<24
D.-24<a<7

查看答案和解析>>

科目: 来源:2012-2013学年福建省莆田八中高二(上)期中数学试卷(理科)(解析版) 题型:选择题

关于x的不等式ax2-ax+1<0的解集是空集,那么a的取值区间是( )
A.[0,4]
B.(0,4)
C.(0,4]
D.[0,4)

查看答案和解析>>

科目: 来源:2012-2013学年福建省莆田八中高二(上)期中数学试卷(理科)(解析版) 题型:选择题

已知实数x,y满足,如果目标函数z=x-y的最小值是-1,那么此目标函数的最大值是( )
A.1
B.2
C.3
D.5

查看答案和解析>>

科目: 来源:2012-2013学年福建省莆田八中高二(上)期中数学试卷(理科)(解析版) 题型:填空题

若等比数列{an}满足,则=   

查看答案和解析>>

科目: 来源:2012-2013学年福建省莆田八中高二(上)期中数学试卷(理科)(解析版) 题型:填空题

某校开展“爱我惠州、爱我家乡”摄影比赛,9位评委为参赛作品A给出的分数如茎叶图所示.记分员算得平均分为91,复核员在复核时,发现有一个数字(茎叶图中的x)无法看清.若记分员计算无误,则数字x应该是   

查看答案和解析>>

科目: 来源:2012-2013学年福建省莆田八中高二(上)期中数学试卷(理科)(解析版) 题型:填空题

如图所示,程序框图(算法流程图)的输出结果是   

查看答案和解析>>

科目: 来源:2012-2013学年福建省莆田八中高二(上)期中数学试卷(理科)(解析版) 题型:填空题

调查发现关于某设备的使用年限x和所支出的维修费用y(万元)有如下的统计数据.
X23456
Y2.23.85.56.57.0
由此资料所知y对x呈线性相关关系,回归直线方程为.设使用年限为10年,估计维修费用为    (万元)

查看答案和解析>>

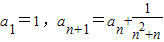
科目: 来源:2012-2013学年福建省莆田八中高二(上)期中数学试卷(理科)(解析版) 题型:填空题

在数列{an}中,则an=   

查看答案和解析>>

科目: 来源:2012-2013学年福建省莆田八中高二(上)期中数学试卷(理科)(解析版) 题型:填空题

附加题:
(1)数列{an}的通项公式,前n项和为Sn,则S2012=   
(2)已知x,y为正实数,且2x+8y-xy=0,则x+y的最小值为   

查看答案和解析>>

科目: 来源:2012-2013学年福建省莆田八中高二(上)期中数学试卷(理科)(解析版) 题型:解答题

等比数列{an}中,已知a1=2,a4=16.
(1)求数列{an}的通项公式;
(2)若a3,a5分别为等差数列{bn}的第3项和第5项,试求数列{bn}的通项公式和前n项之和Sn及Sn的最小值.

查看答案和解析>>

同步练习册答案