相关习题
 0  81744  81752  81758  81762  81768  81770  81774  81780  81782  81788  81794  81798  81800  81804  81810  81812  81818  81822  81824  81828  81830  81834  81836  81838  81839  81840  81842  81843  81844  81846  81848  81852  81854  81858  81860  81864  81870  81872  81878  81882  81884  81888  81894  81900  81902  81908  81912  81914  81920  81924  81930  81938  266669 

科目: 来源:2012-2013学年安徽省铜陵一中高一(下)开学数学试卷(解析版) 题型:填空题

如图,在正方形ABCD中,M是边BC的中点,N是边CD的中点,设∠MAN=α,那么sinα的值等于   

查看答案和解析>>

科目: 来源:2012-2013学年安徽省铜陵一中高一(下)开学数学试卷(解析版) 题型:解答题

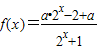
已知
(1)化简f(α);               
(2)已知tanα=3,求f(α)的值.

查看答案和解析>>

科目: 来源:2012-2013学年安徽省铜陵一中高一(下)开学数学试卷(解析版) 题型:解答题

已知函数f(x)=Asin(ωx+φ)(A>0,ω>0,|φ|>0),在同一周期内,当时,f(x)取得最大值3;当时,f(x)取得最小值-3.
(Ⅰ)求函数f(x)的解析式;
(Ⅱ)求函数f(x)的单调递减区间;
(Ⅲ)若时,函数h(x)=2f(x)+1-m有两个零点,求实数m的取值范围.

查看答案和解析>>

科目: 来源:2012-2013学年安徽省铜陵一中高一(下)开学数学试卷(解析版) 题型:解答题

已知函数
(1)若定义域为R,求a范围
(2)若值域为R,求a范围.

查看答案和解析>>

科目: 来源:2012-2013学年安徽省铜陵一中高一(下)开学数学试卷(解析版) 题型:解答题

已知f(x)为定义在R上的奇函数,当x>0时,f(x)为二次函数,且满足f(2)=1,f(x)在(0,+∞)上的两个零点为1和3.
(1)求函数f(x)在R上的解析式;
(2)作出f(x)的图象,并根据图象讨论关于x的方程f(x)-c=0(c∈R)根的个数.

查看答案和解析>>

科目: 来源:2012-2013学年安徽省铜陵一中高一(下)开学数学试卷(解析版) 题型:解答题

已知函数f(x)=loga(1-x)+loga(x+3),其中0<a<1,记函数f(x)的定义域为D.
(1)求函数f(x)的定义域D;
(2)若函数f(x)的最小值为-4,求a的值;
(3)若对于D内的任意实数x,不等式-x2+2mx-m2+2m<1恒成立,求实数m的取值范围.

查看答案和解析>>

科目: 来源:2012-2013学年安徽省铜陵一中高一(下)开学数学试卷(解析版) 题型:解答题

已知函数(a∈R).
(1)试判断f(x)的单调性,并证明你的结论;
(2)若f(x)为定义域上的奇函数,
①求函数f(x)的值域;
②求满足f(ax)<f(2a-x2)的x的取值范围.

查看答案和解析>>

科目: 来源:2012-2013学年湖北省孝感市云梦一中高二(下)3月月考数学试卷(解析版) 题型:选择题

曲线y=4x-x3在点(-1,-3)处的切线方程是( )
A.y=7x+4
B.y=7x+2
C.y=x-4
D.y=x-2

查看答案和解析>>

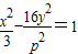
科目: 来源:2012-2013学年湖北省孝感市云梦一中高二(下)3月月考数学试卷(解析版) 题型:选择题

若双曲线的左焦点在抛物线y2=2px的准线上,则p的值为( )
A.2
B.3
C.4
D.4

查看答案和解析>>

科目: 来源:2012-2013学年湖北省孝感市云梦一中高二(下)3月月考数学试卷(解析版) 题型:选择题

一质点运动时位移与时间的关系式为s(t)=t2-t+6,作直线运动,则此物体在t∈[1,4]时间的加速度为( )
A.1
B.2
C.7
D.不能确定

查看答案和解析>>

同步练习册答案