相关习题
 0  81746  81754  81760  81764  81770  81772  81776  81782  81784  81790  81796  81800  81802  81806  81812  81814  81820  81824  81826  81830  81832  81836  81838  81840  81841  81842  81844  81845  81846  81848  81850  81854  81856  81860  81862  81866  81872  81874  81880  81884  81886  81890  81896  81902  81904  81910  81914  81916  81922  81926  81932  81940  266669 

科目: 来源:2012-2013学年广东省江门市新会一中高三(上)期中数学试卷(理科)(解析版) 题型:解答题

已知a、b、c分别是△ABC的三个内角A、B、C所对的边;
(1)若△ABC面积,求a、b的值;
(2)若a=ccosB且b=csinA,试判断△ABC的形状.

查看答案和解析>>

科目: 来源:2012-2013学年广东省江门市新会一中高三(上)期中数学试卷(理科)(解析版) 题型:解答题

设定义域都为的两个函数f(x)和g(x)的解析式分别为
(1)求函数F(x)=f(x)+g(x)的值域;
(2)求函数G(x)=f(x)•g(x)的值域.

查看答案和解析>>

科目: 来源:2012-2013学年广东省江门市新会一中高三(上)期中数学试卷(理科)(解析版) 题型:解答题

已知向量=(cosωx-sinωx,sinωx),=(-cosωx-sinωx,2cosωx),设函数f(x)=+λ(x∈R)的图象关于直线x=π对称,其中ω,λ为常数,且ω∈(,1)
(1)求函数f(x)的最小正周期;
(2)若y=f(x)的图象经过点(,0)求函数f(x)在区间[0,]上的取值范围.

查看答案和解析>>

科目: 来源:2012-2013学年广东省江门市新会一中高三(上)期中数学试卷(理科)(解析版) 题型:解答题

某研究所计划利用“神七”宇宙飞船进行新产品搭载实验,计划搭载新产品A、B,要根据该产品的研制成本、产品重量、搭载实验费用和预计产生收益来决定具体安排,通过调查,有关数据如表:
产品A(件)产品B(件)
研制成本、搭载费用之和(万元)2030计划最大资金额300万元
产品重量(千克)105最大搭载重量110千克
预计收益(万元)8060
试问:如何安排这两种产品的件数进行搭载,才能使总预计收益达到最大,最大收益是多少?

查看答案和解析>>

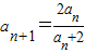
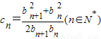
科目: 来源:2012-2013学年广东省江门市新会一中高三(上)期中数学试卷(理科)(解析版) 题型:解答题

已知数列{an}满足(n∈N*),
(1)求{an}的通项公式;
(2)若,求证:c1+c2+…+cn<n+1.

查看答案和解析>>

科目: 来源:2012-2013学年广东省江门市新会一中高三(上)期中数学试卷(理科)(解析版) 题型:解答题

已知函数f(x)=ax-lnx+1(a∈R),g(x)=xe1-x
(1)求函数g(x)在区间(0,e]上的值域;
(2)是否存在实数a,对任意给定的x∈(0,e],在区间[1,e]上都存在两个不同的xi(i=1,2),使得f(xi)=g(x)成立.若存在,求出a的取值范围;若不存在,请说明理由.
(3)给出如下定义:对于函数y=F(x)图象上任意不同的两点A(x1,y1),B(x2,y2),如果对于函数y=F(x)图象上的点M(x,y)(其中总能使得F(x1)-F(x2)=F'(x)(x1-x2)成立,则称函数具备性质“L”,试判断函数f(x)是不是具备性质“L”,并说明理由.

查看答案和解析>>

科目: 来源:2012-2013学年安徽省铜陵一中高一(下)开学数学试卷(解析版) 题型:选择题

若-<α<0,则点P(tanα,cosα)位于( )
A.第一象限
B.第二象限
C.第三象限
D.第四象限

查看答案和解析>>

科目: 来源:2012-2013学年安徽省铜陵一中高一(下)开学数学试卷(解析版) 题型:选择题

已知,则cos(60°-α)的值为( )
A.
B.
C.
D.-

查看答案和解析>>

科目: 来源:2012-2013学年安徽省铜陵一中高一(下)开学数学试卷(解析版) 题型:选择题

下列四个函数中,与y=x表示同一函数的是( )
A.y=(2
B.y=
C.y=
D.y=

查看答案和解析>>

科目: 来源:2012-2013学年安徽省铜陵一中高一(下)开学数学试卷(解析版) 题型:选择题

下列函数中,既是奇函数又是增函数的为( )
A.y=x+1
B.y=-x2
C.
D.y=x|x|

查看答案和解析>>

同步练习册答案