相关习题
 0  81764  81772  81778  81782  81788  81790  81794  81800  81802  81808  81814  81818  81820  81824  81830  81832  81838  81842  81844  81848  81850  81854  81856  81858  81859  81860  81862  81863  81864  81866  81868  81872  81874  81878  81880  81884  81890  81892  81898  81902  81904  81908  81914  81920  81922  81928  81932  81934  81940  81944  81950  81958  266669 

科目: 来源:2012-2013学年黑龙江省哈尔滨九中高三(上)11月月考数学试卷(文科)(解析版) 题型:填空题

已知f(x)=2sin(2x-)-m在x∈[0,]上有两个不同的零点,则m的取值范围为   

查看答案和解析>>

科目: 来源:2012-2013学年黑龙江省哈尔滨九中高三(上)11月月考数学试卷(文科)(解析版) 题型:填空题

若函数有最小值,则实数a的取值范围是   

查看答案和解析>>

科目: 来源:2012-2013学年黑龙江省哈尔滨九中高三(上)11月月考数学试卷(文科)(解析版) 题型:填空题

如图:点P在正方体ABCD-A1B1C1D1的面对角线BC1上运动,则下列四个命题:
①三棱锥A-D1PC的体积不变;
②A1P∥面ACD1
③DP⊥BC1
④面PDB1⊥面ACD1
其中正确的命题的序号是    

查看答案和解析>>

科目: 来源:2012-2013学年黑龙江省哈尔滨九中高三(上)11月月考数学试卷(文科)(解析版) 题型:解答题

已知不等式2|x-3|+|x-4|<2a.
(Ⅰ)若a=1,求不等式的解集;
(Ⅱ)若已知不等式的解集不是空集,求a的取值范围.

查看答案和解析>>

科目: 来源:2012-2013学年黑龙江省哈尔滨九中高三(上)11月月考数学试卷(文科)(解析版) 题型:解答题

已知数列{an}满足a1=1,a3+a7=18,且an-1+an+1=2an(n≥2).
(Ⅰ)求数列{an}的通项公式;
(Ⅱ)若cn=2n-1•an,求数列{cn}的前n项和Tn

查看答案和解析>>

科目: 来源:2012-2013学年黑龙江省哈尔滨九中高三(上)11月月考数学试卷(文科)(解析版) 题型:解答题

已知,?>0,函数,x1,x2是集合M={x|f(x)=1}中任意两个元素,且|x1-x2|的最小值为
(1)求?的值.
(2)在△ABC中,a,b,c分别是A,B,C的对边.

查看答案和解析>>

科目: 来源:2012-2013学年黑龙江省哈尔滨九中高三(上)11月月考数学试卷(文科)(解析版) 题型:解答题

在四棱锥P-ABCD中,PD⊥平面ABCD,AD⊥CD,且DB平分∠ADC,E为PC的中点,AD=CD=1,PD=3,(1)证明PA∥平面BDE
(2)证明AC⊥平面PBD
(3)求四棱锥P-ABCD的体积.

查看答案和解析>>

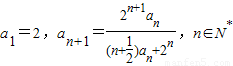
科目: 来源:2012-2013学年黑龙江省哈尔滨九中高三(上)11月月考数学试卷(文科)(解析版) 题型:解答题

已知数列{an}满足
(1)设
(2)设,求数列{dn}的前n项和Sn

查看答案和解析>>

科目: 来源:2012-2013学年黑龙江省哈尔滨九中高三(上)11月月考数学试卷(文科)(解析版) 题型:解答题

已知函数f(x)=alnx-ax-3(a∈R).
(Ⅰ)求函数f(x)的单调区间;
(Ⅱ)若函数y=f(x)的图象在点(2,f(2))处的切线的倾斜角为45°,对于任意的t∈[1,2],函数在区间(t,3)上总不是单调函数,求m的取值范围;
(Ⅲ)求证:

查看答案和解析>>

科目: 来源:2012-2013学年山东省济宁市邹城一中高三(上)期末数学模拟试卷(理科)(解析版) 题型:选择题

已知集合M={-1,1},N={x∈Z|<2x+1<4},则M∩N=( )
A.{-1,1}
B.{-1}
C.{0}
D.{-1,0}

查看答案和解析>>

同步练习册答案