相关习题
 0  81802  81810  81816  81820  81826  81828  81832  81838  81840  81846  81852  81856  81858  81862  81868  81870  81876  81880  81882  81886  81888  81892  81894  81896  81897  81898  81900  81901  81902  81904  81906  81910  81912  81916  81918  81922  81928  81930  81936  81940  81942  81946  81952  81958  81960  81966  81970  81972  81978  81982  81988  81996  266669 

科目: 来源:2012-2013学年重庆市铜梁中学高一(下)定时检测数学试卷(解析版) 题型:填空题

在数列{an}中,a1=2,an+1-an=3,则an=50,则n=   

查看答案和解析>>

科目: 来源:2012-2013学年重庆市铜梁中学高一(下)定时检测数学试卷(解析版) 题型:填空题

已知a,b,c是△ABC三边长,若满足a2+b2-c2=ab,则C=   

查看答案和解析>>

科目: 来源:2012-2013学年重庆市铜梁中学高一(下)定时检测数学试卷(解析版) 题型:填空题

在正项等比数列{an}中,a1a3+2a2a4+a2a6=9,则 a2+a4   

查看答案和解析>>

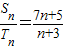
科目: 来源:2012-2013学年重庆市铜梁中学高一(下)定时检测数学试卷(解析版) 题型:填空题

两等差数列{an},{bn},前n项和分别为Sn、Tn,则=   

查看答案和解析>>

科目: 来源:2012-2013学年重庆市铜梁中学高一(下)定时检测数学试卷(解析版) 题型:填空题

下列命题正确的序号为   
①若等差数列{an}前n项和为Sn,则三点(10,)、(100,)、(110、)共线;
②若数列{an}为等比数列,则数列{log2an}为等差数列;
③等比数列{an}的前n项和,则a=-1;
④若数列{an}前n项和Sn满足Sn+1=a1+qSn(其中常数a1q≠0),则{an}是等比数列.

查看答案和解析>>

科目: 来源:2012-2013学年重庆市铜梁中学高一(下)定时检测数学试卷(解析版) 题型:解答题

在△ABC中,A、B、C的对边分别为a、b、c,
(Ⅰ)化简:bcosC+ccosB;
(Ⅱ)求证:

查看答案和解析>>

科目: 来源:2012-2013学年重庆市铜梁中学高一(下)定时检测数学试卷(解析版) 题型:解答题

在△ABC中,a、b、c分别为角A、B、C的对边,已知,A=60°,
( I)若,求角B的大小;
( II)若△ABC的面积,求a、c的值.

查看答案和解析>>

科目: 来源:2012-2013学年重庆市铜梁中学高一(下)定时检测数学试卷(解析版) 题型:解答题

在等比数列{an}中,a2=18,a4=8,试求:
(Ⅰ)数列{an}的首项a1和公比q;
(Ⅱ)数列{an}前n项和Sn

查看答案和解析>>

科目: 来源:2012-2013学年重庆市铜梁中学高一(下)定时检测数学试卷(解析版) 题型:解答题

一缉私艇(在A处)发现,在其北偏东45°方向相距24海里的海面上(C处)有一艘走私船遇正以12海里/小时的速度沿南偏东75°方向逃窜,若缉私船的速度为海里/小时.若要在最短的时间内追上该走私船,缉私船应沿北偏东45°+α的方向去追,求追及所需的时间和α角的大小.

查看答案和解析>>

科目: 来源:2012-2013学年重庆市铜梁中学高一(下)定时检测数学试卷(解析版) 题型:解答题

已知数列数列{an}前n项和(其中k∈N*),且Sn的最大值为8.
(Ⅰ)确定常数k并求{an}的通项公式;
(Ⅱ)若bn=9-2an,求数列前n项和Tn

查看答案和解析>>

同步练习册答案