相关习题
 0  81848  81856  81862  81866  81872  81874  81878  81884  81886  81892  81898  81902  81904  81908  81914  81916  81922  81926  81928  81932  81934  81938  81940  81942  81943  81944  81946  81947  81948  81950  81952  81956  81958  81962  81964  81968  81974  81976  81982  81986  81988  81992  81998  82004  82006  82012  82016  82018  82024  82028  82034  82042  266669 

科目: 来源:2012-2013学年河南省中原名校高二(上)期中数学试卷(文科)(解析版) 题型:选择题

在△ABC中,A=60°,,则B等于( )
A.45°或135°
B.135°
C.45°
D.30°

查看答案和解析>>

科目: 来源:2012-2013学年河南省中原名校高二(上)期中数学试卷(文科)(解析版) 题型:选择题

在△ABC中,a,b,c为内角A,B,C所对的边,且acosB=bcosA,则该三角形一定是( )
A.等边三角形
B.直角三角形
C.等要直角三角形
D.等腰三角形

查看答案和解析>>

科目: 来源:2012-2013学年河南省中原名校高二(上)期中数学试卷(文科)(解析版) 题型:选择题

等差数列{an}的前n项和为Sn,已知,S2m-1=38,则m=( )
A.9
B.10
C.20
D.38

查看答案和解析>>

科目: 来源:2012-2013学年河南省中原名校高二(上)期中数学试卷(文科)(解析版) 题型:选择题

数列{an}的通项公式为,若数列{an}是个递增数列,则a的范围是( )
A.a<2
B.a≥1
C.
D.a<3

查看答案和解析>>

科目: 来源:2012-2013学年河南省中原名校高二(上)期中数学试卷(文科)(解析版) 题型:选择题

在△ABC中,,则边AC上的高为( )
A.
B.
C.
D.

查看答案和解析>>

科目: 来源:2012-2013学年河南省中原名校高二(上)期中数学试卷(文科)(解析版) 题型:选择题

等比数列{an}中,a3,a5是方程x2-kx+2=0(k为常数)的两根,若a2<0,则a2a3a4a5a6的值为( )
A.
B.
C.
D.8

查看答案和解析>>

科目: 来源:2012-2013学年河南省中原名校高二(上)期中数学试卷(文科)(解析版) 题型:选择题

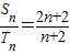
两个等差数列{an}和{bn},其前n项和分别是Sn,Tn,且,则( )
A.
B.
C.
D.无法确定

查看答案和解析>>

科目: 来源:2012-2013学年河南省中原名校高二(上)期中数学试卷(文科)(解析版) 题型:选择题

若直线通过点M(cosα,sinα),则( )
A.a2+b2≤1
B.a2+b2≥1
C.
D.

查看答案和解析>>

科目: 来源:2012-2013学年河南省中原名校高二(上)期中数学试卷(文科)(解析版) 题型:选择题

在△ABC中,a,b,c是角A,B,C的对边,且(a+b+c)(a+c-b)=3ac,则等于( )
A.
B.
C.
D.

查看答案和解析>>

科目: 来源:2012-2013学年河南省中原名校高二(上)期中数学试卷(文科)(解析版) 题型:选择题

若x,y,z是正实数,且x-2y+3z=0,则的最小值是( )
A.4
B.3
C.2
D.1

查看答案和解析>>

同步练习册答案