相关习题
 0  81885  81893  81899  81903  81909  81911  81915  81921  81923  81929  81935  81939  81941  81945  81951  81953  81959  81963  81965  81969  81971  81975  81977  81979  81980  81981  81983  81984  81985  81987  81989  81993  81995  81999  82001  82005  82011  82013  82019  82023  82025  82029  82035  82041  82043  82049  82053  82055  82061  82065  82071  82079  266669 

科目: 来源:2012-2013学年福建省厦门二中高二(上)数学周末练习14(文科)(解析版) 题型:选择题

抛物线y=ax2(a<0)的焦点坐标是( )
A.
B.
C.
D.

查看答案和解析>>

科目: 来源:2012-2013学年福建省厦门二中高二(上)数学周末练习14(文科)(解析版) 题型:选择题

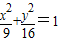
以椭圆+=1的顶点为顶点,离心率为2的双曲线方程( )
A.-=1
B.-=1
C.-=1或-=1
D.以上都不对

查看答案和解析>>

科目: 来源:2012-2013学年福建省厦门二中高二(上)数学周末练习14(文科)(解析版) 题型:选择题

动点P到点M(1,0)及点N(3,0)的距离之差为2,则点P的轨迹是( )
A.双曲线
B.双曲线的一支
C.两条射线
D.一条射线

查看答案和解析>>

科目: 来源:2012-2013学年福建省厦门二中高二(上)数学周末练习14(文科)(解析版) 题型:选择题

抛物线y2=12x截直线y=2x+1所得弦长等于( )
A.
B.
C.
D.15

查看答案和解析>>

科目: 来源:2012-2013学年福建省厦门二中高二(上)数学周末练习14(文科)(解析版) 题型:选择题

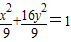
若圆x2+y2=9上每个点的横坐标不变,纵坐标缩短为原来的,则所得到的曲线的方程是( )
A.
B.
C.
D.

查看答案和解析>>

科目: 来源:2012-2013学年福建省厦门二中高二(上)数学周末练习14(文科)(解析版) 题型:选择题

已知m,n为两个不相等的非零实数,则方程mx-y+n=0与nx2+my2=mn所表示的曲线可能是( )
A.
B.
C.
D.

查看答案和解析>>

科目: 来源:2012-2013学年福建省厦门二中高二(上)数学周末练习14(文科)(解析版) 题型:选择题

已知抛物线关于x轴对称,它的顶点在坐标原点O,并且经过点M(2,y).若点M到该抛物线焦点的距离为3,则|OM|=( )
A.
B.
C.4
D.

查看答案和解析>>

科目: 来源:2012-2013学年福建省厦门二中高二(上)数学周末练习14(文科)(解析版) 题型:选择题

设圆锥曲线r的两个焦点分别为F1,F2,若曲线r上存在点P满足|PF1|:|F1F2|:|PF2|=4:3:2,则曲线r的离心率等于( )
A.
B.或2
C.2
D.

查看答案和解析>>

科目: 来源:2012-2013学年福建省厦门二中高二(上)数学周末练习14(文科)(解析版) 题型:填空题

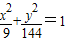
若椭圆的两焦点为(-2,0)和(2,0),且椭圆过点,则椭圆方程是   

查看答案和解析>>

科目: 来源:2012-2013学年福建省厦门二中高二(上)数学周末练习14(文科)(解析版) 题型:填空题

若双曲线的一条渐近线方程是,且过点(-6,4),则双曲线标准方程是   

查看答案和解析>>

同步练习册答案