相关习题
 0  81898  81906  81912  81916  81922  81924  81928  81934  81936  81942  81948  81952  81954  81958  81964  81966  81972  81976  81978  81982  81984  81988  81990  81992  81993  81994  81996  81997  81998  82000  82002  82006  82008  82012  82014  82018  82024  82026  82032  82036  82038  82042  82048  82054  82056  82062  82066  82068  82074  82078  82084  82092  266669 

科目: 来源:2012-2013学年河南省中原名校高二(上)期中数学试卷A(文科)(解析版) 题型:选择题

在△ABC中,A=60°,,则B等于( )
A.45°或135°
B.135°
C.45°
D.30°

查看答案和解析>>

科目: 来源:2012-2013学年河南省中原名校高二(上)期中数学试卷A(文科)(解析版) 题型:选择题

在△ABC中,a,b,c是角A,B,C的对边,且acosA=bcosB,则三角形是( )
A.直角三角形
B.等腰三角形
C.等腰三角形或直角三角形
D.等腰直角三角形

查看答案和解析>>

科目: 来源:2012-2013学年河南省中原名校高二(上)期中数学试卷A(文科)(解析版) 题型:选择题

等差数列{an}的前n项和为Sn,已知,S2m-1=38,则m=( )
A.9
B.10
C.20
D.38

查看答案和解析>>

科目: 来源:2012-2013学年河南省中原名校高二(上)期中数学试卷A(文科)(解析版) 题型:选择题

数列{an}的通项公式为,若数列{an}是个递增数列,则a的范围是( )
A.a<2
B.a≥1
C.
D.a<3

查看答案和解析>>

科目: 来源:2012-2013学年河南省中原名校高二(上)期中数学试卷A(文科)(解析版) 题型:选择题

在△ABC中,,则边AC上的高为( )
A.
B.
C.
D.

查看答案和解析>>

科目: 来源:2012-2013学年河南省中原名校高二(上)期中数学试卷A(文科)(解析版) 题型:选择题

等比数列{an}中,a3,a5是方程x2-kx+2=0(k为常数)的两根,若a2<0,则a2a3a4a5a6的值为( )
A.
B.
C.
D.8

查看答案和解析>>

科目: 来源:2012-2013学年河南省中原名校高二(上)期中数学试卷A(文科)(解析版) 题型:选择题

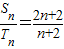
两个等差数列{an}和{bn},其前n项和分别是Sn,Tn,且,则( )
A.
B.
C.
D.无法确定

查看答案和解析>>

科目: 来源:2012-2013学年河南省中原名校高二(上)期中数学试卷A(文科)(解析版) 题型:选择题

若直线通过点M(cosα,sinα),则( )
A.a2+b2≤1
B.a2+b2≥1
C.
D.

查看答案和解析>>

科目: 来源:2012-2013学年河南省中原名校高二(上)期中数学试卷A(文科)(解析版) 题型:选择题

在△ABC中,a,b,c是角A,B,C的对边,且(a+b+c)(a+c-b)=3ac,则等于( )
A.
B.
C.
D.

查看答案和解析>>

科目: 来源:2012-2013学年河南省中原名校高二(上)期中数学试卷A(文科)(解析版) 题型:选择题

若x,y,z是正实数,且x-2y+3z=0,则的最小值是( )
A.4
B.3
C.2
D.1

查看答案和解析>>

同步练习册答案