相关习题
 0  81951  81959  81965  81969  81975  81977  81981  81987  81989  81995  82001  82005  82007  82011  82017  82019  82025  82029  82031  82035  82037  82041  82043  82045  82046  82047  82049  82050  82051  82053  82055  82059  82061  82065  82067  82071  82077  82079  82085  82089  82091  82095  82101  82107  82109  82115  82119  82121  82127  82131  82137  82145  266669 

科目: 来源:2012-2013学年河南省南阳一中、五中高三(上)9月联考数学试卷(文科)(解析版) 题型:填空题

若f(x)=(x+a)(x-4)为偶函数,则实数a=   

查看答案和解析>>

科目: 来源:2012-2013学年河南省南阳一中、五中高三(上)9月联考数学试卷(文科)(解析版) 题型:填空题

对于函数f(x)定义域中任意的x1,x2(x1≠x2),有如下结论:
①f(x1+x2)=f(x1)•f(x2);
②f=f(x1)+f(x2);
>0;

当f(x)=lgx时,上述结论中正确结论的序号是   

查看答案和解析>>

科目: 来源:2012-2013学年河南省南阳一中、五中高三(上)9月联考数学试卷(文科)(解析版) 题型:填空题

已知点P在曲线y=ex(e为自然对数的底数)上,点Q在曲线y=lnx上,则丨PQ丨的最小值是   

查看答案和解析>>

科目: 来源:2012-2013学年河南省南阳一中、五中高三(上)9月联考数学试卷(文科)(解析版) 题型:解答题

记函数f(x)=的定义域为A,g(x)=lg[(x-a-1)(2a-x)](a<1)的定义域为B.
(1)求A;
(2)若B⊆A,求实数a的取值范围.

查看答案和解析>>

科目: 来源:2012-2013学年河南省南阳一中、五中高三(上)9月联考数学试卷(文科)(解析版) 题型:解答题

已知二次函数f(x)的二次项系数为a,且不等式f(x)>-2x的解集为(1,3).
(Ⅰ)若方程f(x)+6a=0有两个相等的根,求f(x)的解析式;
(Ⅱ)若f(x)的最大值为正数,求a的取值范围.

查看答案和解析>>

科目: 来源:2012-2013学年河南省南阳一中、五中高三(上)9月联考数学试卷(文科)(解析版) 题型:解答题

已知函数f(x)=在x=-2处有极值.
(Ⅰ)求函数f(x)的单调区间;
(Ⅱ)若函数f(x)在区间[-3,3]上有且仅有一个零点,求b的取值范围.

查看答案和解析>>

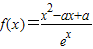
科目: 来源:2012-2013学年河南省南阳一中、五中高三(上)9月联考数学试卷(文科)(解析版) 题型:解答题

设函数
(1)当a=0时,求曲线y=f(x)在点(1,f(1)处的切线方程;
(2)讨论f(x)的单调性.

查看答案和解析>>

科目: 来源:2012-2013学年河南省南阳一中、五中高三(上)9月联考数学试卷(文科)(解析版) 题型:解答题

设f(x)是定义在R上的奇函数,且对任意实数x,恒有f(x+1)=f(1-x).当x∈[0,2]时,f(x)=2x-x2
(1)求证:f(x)是周期函数;
(2)当x∈[2,4]时,求f(x)的解析式;
(3)f(1)+f(2)+f(3)+…+f(2013).

查看答案和解析>>

科目: 来源:2012-2013学年河南省南阳一中、五中高三(上)9月联考数学试卷(文科)(解析版) 题型:解答题

已知函数
(1)若a=-1,求f(x)的单调递增区间;
(2)当x>1时,f(x)>lnx恒成立,求实数a的取值范围.

查看答案和解析>>

科目: 来源:2012-2013学年福建省厦门二中高二(上)数学限时训练(2)(文科)(解析版) 题型:选择题

不解三角形,下列判断正确的是( )
A.a=4,b=5,A=30°,有一解
B.a=5,b=4,A=60°,有两解
C.a=,b=,A=120°,有两解
D.a=,b=,A=60°,无解

查看答案和解析>>

同步练习册答案