相关习题
0 82012 82020 82026 82030 82036 82038 82042 82048 82050 82056 82062 82066 82068 82072 82078 82080 82086 82090 82092 82096 82098 82102 82104 82106 82107 82108 82110 82111 82112 82114 82116 82120 82122 82126 82128 82132 82138 82140 82146 82150 82152 82156 82162 82168 82170 82176 82180 82182 82188 82192 82198 82206 266669
科目:
来源:2012-2013学年江苏省常州市高三(上)期末数学试卷(解析版)
题型:解答题
已知数列{an}是等差数列,a1+a2+a3=15,数列{bn}是等比数列,b1b2b3=27.
(1)若a1=b2,a4=b3.求数列{an}和{bn}的通项公式;
(2)若a1+b1,a2+b2,a3+b3是正整数且成等比数列,求a3的最大值.
查看答案和解析>>
科目:
来源:2012-2013学年江苏省常州市高三(上)期末数学试卷(解析版)
题型:解答题
已知函数f(x)=x|x-a|-lnx.
(1)若a=1,求函数f(x)在区间[1,e]的最大值;
(2)求函数f(x)的单调区间;
(3)若f(x)>0恒成立,求a的取值范围.
查看答案和解析>>
科目:
来源:2012-2013学年江苏省常州市高三(上)期末数学试卷(解析版)
题型:解答题

如图,AB是⊙O的直径,C,F是⊙O上的两点,OC⊥AB,过点F作⊙O的切线FD交AB的延长线于点D.连接CF交AB于点E.
求证:DE
2=DB•DA.
查看答案和解析>>
科目:
来源:2012-2013学年江苏省常州市高三(上)期末数学试卷(解析版)
题型:解答题
已知矩阵

,若矩阵A属于特征值6的一个特征向量为

,属于特征值1的一个特征向量为

.
(1)求矩阵A;
(2)判断矩阵A是否可逆,若可逆求出其逆矩阵.
查看答案和解析>>
科目:
来源:2012-2013学年江苏省常州市高三(上)期末数学试卷(解析版)
题型:解答题
已知曲线C
1的极坐标方程为

,曲线C
2的极坐标方程为

,判断两曲线的位置关系.
查看答案和解析>>
科目:
来源:2012-2013学年江苏省常州市高三(上)期末数学试卷(解析版)
题型:解答题
(选修4-5:不等式选讲)设f(x)=x2-x+l,实数a满足|x-a|<l,求证:|f(x)-f(a)|<2(|a|+1.
查看答案和解析>>
科目:
来源:2012-2013学年江苏省常州市高三(上)期末数学试卷(解析版)
题型:解答题
袋中装有大小相同的黑球和白球共9个,从中任取2个都是白球的概率为

.现甲、乙两人从袋中轮流摸球,甲先取,乙后取,然后甲再取…,每次摸取1个球,取出的球部放回,直到其中有一人去的白球时终止.用X表示取球终止时取球的总次数.
(1)求袋中原有白球的个数;
(2)求随机变量X的概率分布及数学期望E(X).
查看答案和解析>>
科目:
来源:2012-2013学年江苏省常州市高三(上)期末数学试卷(解析版)
题型:解答题
空间内有n个平面,设这n个平面最多将空间分成an个部分.
(1)求a1,a2,a3,a4;
(2)写出an关于n的表达式并用数学归纳法证明.
查看答案和解析>>
科目:
来源:2012-2013学年吉林省通化市梅河口五中高一(下)第一次月考数学试卷(解析版)
题型:选择题
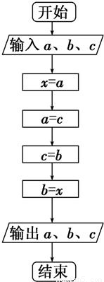
阅读如图所示的程序框图,若输入的a,b,c分别为21,32,75,则输出的a,b,c分别是( )

A.75,21,32
B.21,32,75
C.32,21,75
D.75,32,21
查看答案和解析>>
科目:
来源:2012-2013学年吉林省通化市梅河口五中高一(下)第一次月考数学试卷(解析版)
题型:选择题
某校1000名学生中,O型血有400人,A型血有250人,B型血有250人,AB型血有100人,为了研究血型与性格的关系,按照分层抽样的方法从中抽取样本.如果从A型血中抽取了10人,则从AB型血中应当抽取的人数为( )
A.4
B.5
C.6
D.7
查看答案和解析>>