相关习题
 0  82066  82074  82080  82084  82090  82092  82096  82102  82104  82110  82116  82120  82122  82126  82132  82134  82140  82144  82146  82150  82152  82156  82158  82160  82161  82162  82164  82165  82166  82168  82170  82174  82176  82180  82182  82186  82192  82194  82200  82204  82206  82210  82216  82222  82224  82230  82234  82236  82242  82246  82252  82260  266669 

科目: 来源:2012-2013学年安徽省蚌埠市怀远三中高一(下)第一次质量检测数学试卷(文科)(解析版) 题型:选择题

函数f(x)=lnx-的零点一定位于区间( )
A.(,1)
B.(1,2)
C.(2,e)
D.(e,3)

查看答案和解析>>

科目: 来源:2012-2013学年安徽省蚌埠市怀远三中高一(下)第一次质量检测数学试卷(文科)(解析版) 题型:选择题

设数列{an}是等差数列,a2=-6,a8=6,Sn是数列{an}的前n项和,则( )
A.S4<S5
B.S4=S5
C.S6<S5
D.S6=S5

查看答案和解析>>

科目: 来源:2012-2013学年安徽省蚌埠市怀远三中高一(下)第一次质量检测数学试卷(文科)(解析版) 题型:填空题

等比数列{an}中,a3=2,a8=64,那么它的公比q=   

查看答案和解析>>

科目: 来源:2012-2013学年安徽省蚌埠市怀远三中高一(下)第一次质量检测数学试卷(文科)(解析版) 题型:填空题

(cos)(cos)=   

查看答案和解析>>

科目: 来源:2012-2013学年安徽省蚌埠市怀远三中高一(下)第一次质量检测数学试卷(文科)(解析版) 题型:填空题

已知α∈(π,),cosα=-,则sin=   

查看答案和解析>>

科目: 来源:2012-2013学年安徽省蚌埠市怀远三中高一(下)第一次质量检测数学试卷(文科)(解析版) 题型:填空题

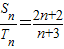
等差数列{an},{bn}的前n项和分别为Sn,Tn,若的值为   

查看答案和解析>>

科目: 来源:2012-2013学年安徽省蚌埠市怀远三中高一(下)第一次质量检测数学试卷(文科)(解析版) 题型:填空题

数列{an}满足a1=1,an+1=2an+1,若数列{an+c}恰为等比数列,则c的值为   

查看答案和解析>>

科目: 来源:2012-2013学年安徽省蚌埠市怀远三中高一(下)第一次质量检测数学试卷(文科)(解析版) 题型:解答题

已知tanα=-,cosβ=,其中α,β∈(o,π)
(1)求cosα的值;
(2)求sin(α+β)的值.

查看答案和解析>>

科目: 来源:2012-2013学年安徽省蚌埠市怀远三中高一(下)第一次质量检测数学试卷(文科)(解析版) 题型:解答题

已知数列{an},{bn}分别是等差数列和等比数列,且a2=b2=2,a4=b4=8.
(1)求数列{an},{bn}的通项an,bn
(2)求数列{an},{bn}的前n项和Sn,Tn

查看答案和解析>>

科目: 来源:2012-2013学年安徽省蚌埠市怀远三中高一(下)第一次质量检测数学试卷(文科)(解析版) 题型:解答题

已知数列{an}的前n项和公式为Sn=2n2-30n.
(1)求出数列{an}的通项公式;
(2)求使得前n项和Sn最小时n的值.,并求出最小值Sn

查看答案和解析>>

同步练习册答案