相关习题
 0  82125  82133  82139  82143  82149  82151  82155  82161  82163  82169  82175  82179  82181  82185  82191  82193  82199  82203  82205  82209  82211  82215  82217  82219  82220  82221  82223  82224  82225  82227  82229  82233  82235  82239  82241  82245  82251  82253  82259  82263  82265  82269  82275  82281  82283  82289  82293  82295  82301  82305  82311  82319  266669 

科目: 来源:2012-2013学年浙江省绍兴市诸暨市湄池中学高一(上)期中数学试卷(小班)(解析版) 题型:填空题

若a∈{2,1,a2},则a=   

查看答案和解析>>

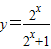
科目: 来源:2012-2013学年浙江省绍兴市诸暨市湄池中学高一(上)期中数学试卷(小班)(解析版) 题型:填空题

函数的值域为   

查看答案和解析>>

科目: 来源:2012-2013学年浙江省绍兴市诸暨市湄池中学高一(上)期中数学试卷(小班)(解析版) 题型:填空题

函数的单调递减区间是   

查看答案和解析>>

科目: 来源:2012-2013学年浙江省绍兴市诸暨市湄池中学高一(上)期中数学试卷(小班)(解析版) 题型:填空题

定义集合运算:A*B={z|z=xy,x∈A,y∈B}.设A={1,2},B={0,2},则集合A*B的所有元素之和为   

查看答案和解析>>

科目: 来源:2012-2013学年浙江省绍兴市诸暨市湄池中学高一(上)期中数学试卷(小班)(解析版) 题型:解答题

已知集合A={x|x2-5x+6=0},B={x|x2-ax+18=0},C={x|x2+2x-8=0},若A∩B≠∅,B∩C=∅,
(1)用列举法表示集合A和集合C.
(2)试求a的值.

查看答案和解析>>

科目: 来源:2012-2013学年浙江省绍兴市诸暨市湄池中学高一(上)期中数学试卷(小班)(解析版) 题型:解答题

f(x)是定义在R上的奇函数,且当x>0时,f(x)=2+lnx.
(1)求f(x)在R上的解析式;
(2)求满足f(x)=0的x值.

查看答案和解析>>

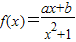
科目: 来源:2012-2013学年浙江省绍兴市诸暨市湄池中学高一(上)期中数学试卷(小班)(解析版) 题型:解答题

函数是定义在(-∞,+∞)上的奇函数,且
(1)求实数a,b,并确定函数f(x)的解析式;
(2)用定义证明f(x)在(-1,1)上是增函数.

查看答案和解析>>

科目: 来源:2012-2013学年浙江省绍兴市诸暨市湄池中学高一(上)期中数学试卷(小班)(解析版) 题型:解答题

已知函数f(x)=的定义域为A,集合B是不等式x2-(2a+1)x+a2+a>0的解集.
(Ⅰ) 求A,B;
(Ⅱ) 若A∪B=B,求实数a的取值范围.

查看答案和解析>>

科目: 来源:2012-2013学年浙江省绍兴市诸暨市湄池中学高一(上)期中数学试卷(小班)(解析版) 题型:解答题

某专卖店经销某种电器,进价为每台1500元,当销售价定为1500元~2200元时,销售量(台)P与销售价q(元)满足P=
(1)当定价为每台1800元时,该专卖店的销售利润为多少?
(2)若规定销售价q为100的整数倍,当销售价q的定价为多少时,专卖店的利润最高?

查看答案和解析>>

科目: 来源:2012-2013学年江苏省徐州市铜山县棠张中学高三(上)周练数学试卷(理科)(11.3)(解析版) 题型:填空题

已知集合A={1,3},B={1,2,m},若A⊆B,则实数m=   

查看答案和解析>>

同步练习册答案