相关习题
 0  82241  82249  82255  82259  82265  82267  82271  82277  82279  82285  82291  82295  82297  82301  82307  82309  82315  82319  82321  82325  82327  82331  82333  82335  82336  82337  82339  82340  82341  82343  82345  82349  82351  82355  82357  82361  82367  82369  82375  82379  82381  82385  82391  82397  82399  82405  82409  82411  82417  82421  82427  82435  266669 

科目: 来源:2012-2013学年天津市耀华中学高三(上)第一次月考数学试卷(文科)(解析版) 题型:解答题

已知f(x+2)的定义域为(-2,2),则f(x-3)的定义域为______.

查看答案和解析>>

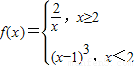
科目: 来源:2012-2013学年天津市耀华中学高三(上)第一次月考数学试卷(文科)(解析版) 题型:填空题

已知函数,若关于x的方程f(x)=k有两个不同的实根,则实数k的取值范围是   

查看答案和解析>>

科目: 来源:2012-2013学年天津市耀华中学高三(上)第一次月考数学试卷(文科)(解析版) 题型:解答题

f(x)是定义在[-2,2]上的偶函数,且f(x)在[0,2]上单调递减,若f(1-m)<f(m)成立,求实数m的取值范围.

查看答案和解析>>

科目: 来源:2012-2013学年天津市耀华中学高三(上)第一次月考数学试卷(文科)(解析版) 题型:解答题

若关于x的不等式对任意n∈N*在x∈(-∞,λ]上恒成立,则实常数λ的取值范围是______.

查看答案和解析>>

科目: 来源:2012-2013学年天津市耀华中学高三(上)第一次月考数学试卷(文科)(解析版) 题型:解答题

已知函数,求:
(1)函数y的最大值,最小值及最小正周期;
(2)函数y的单调递增区间.

查看答案和解析>>

科目: 来源:2012-2013学年天津市耀华中学高三(上)第一次月考数学试卷(文科)(解析版) 题型:解答题

甲、乙两人各掷一次骰子(均匀的正方体六个面上分别为l,2,3,4,5,6点)所得点数分别为x,y.
(1)求x<y的概率;
(2)求5<x+y<10的概率.

查看答案和解析>>

科目: 来源:2012-2013学年天津市耀华中学高三(上)第一次月考数学试卷(文科)(解析版) 题型:解答题

如图,在四棱锥P-ABCD中,底面ABCD为正方形,PD⊥底面ABCD,且AB=PD=1.
(1)求证:AC⊥PB;
(2)求异面直线PC与AB所成的角;
(3)求直线PB和平面PAD所成角的正切值.

查看答案和解析>>

科目: 来源:2012-2013学年天津市耀华中学高三(上)第一次月考数学试卷(文科)(解析版) 题型:解答题

已知函数f(x)=3x2-6x-5.
(1)求不等式f(x)>4的解集;
(2)设g(x)=f(x)-2x2+mx,其中m∈R,求g(x)在区间[l,3]上的最小值;
(3)若对于任意的a∈[1,2],关于x的不等式f(x)≤x2-(2a+6)x+a+b在区间[1,3]上恒成立,求实数b的取值范围.

查看答案和解析>>

科目: 来源:2012-2013学年天津市耀华中学高三(上)第一次月考数学试卷(文科)(解析版) 题型:解答题

已知函数
(Ⅰ)若a=1,求曲线y=f(x)在点(1,f(1))处的切线方程;
(Ⅱ)若函数f(x)在其定义域内为增函数,求a的取值范围;
(Ⅲ)在(Ⅱ)的条件下,设函数,若在[1,e]上至少存在一点x,使得f(x)≥g(x)成立,求实数a的取值范围.

查看答案和解析>>

科目: 来源:2012-2013学年湖南省长沙市浏阳市田家炳实验中学高二(上)期中数学试卷(文科)(解析版) 题型:选择题

若命题“p∧q”为假,且“¬p”为假,则( )
A.p或q为假
B.q假
C.q真
D.不能判断q的真假

查看答案和解析>>

同步练习册答案