相关习题
 0  82374  82382  82388  82392  82398  82400  82404  82410  82412  82418  82424  82428  82430  82434  82440  82442  82448  82452  82454  82458  82460  82464  82466  82468  82469  82470  82472  82473  82474  82476  82478  82482  82484  82488  82490  82494  82500  82502  82508  82512  82514  82518  82524  82530  82532  82538  82542  82544  82550  82554  82560  82568  266669 

科目: 来源:2012-2013学年重庆市铜梁中学高二(下)第一次月考数学试卷(文科)(解析版) 题型:填空题

z1=(m2+m+1)+(m2+m-4)i,m∈R.z2=3-2i.则m=1是z1=z2    条件

查看答案和解析>>

科目: 来源:2012-2013学年重庆市铜梁中学高二(下)第一次月考数学试卷(文科)(解析版) 题型:填空题

函数f(x)=x2+2x,x∈[-2,1]的值域是   

查看答案和解析>>

科目: 来源:2012-2013学年重庆市铜梁中学高二(下)第一次月考数学试卷(文科)(解析版) 题型:填空题

已知f(x)=,则f(x)+f()=   

查看答案和解析>>

科目: 来源:2012-2013学年重庆市铜梁中学高二(下)第一次月考数学试卷(文科)(解析版) 题型:填空题

设集合A={5,log2(a+3)},集合B={a,b}.若A∩B={2},则A∪B=   

查看答案和解析>>

科目: 来源:2012-2013学年重庆市铜梁中学高二(下)第一次月考数学试卷(文科)(解析版) 题型:填空题

在下列命题中,正确的有   
①两个复数不能比较大小;
②虚轴上的点表示的数都是纯虚数;
③若(x2-1)+(x2+3x+2)i是纯虚数,则实数x=1;
④z是虚数的一个充要条件是z+∈R;
⑤若a,b是两个相等的实数,则(a-b)+(a+b)i是纯虚数;
⑥z∈R的一个充要条件是z=

查看答案和解析>>

科目: 来源:2012-2013学年重庆市铜梁中学高二(下)第一次月考数学试卷(文科)(解析版) 题型:解答题

设全集U=R,集合A={x|x2-2x-3≤0},B={x|x2-4x≤0},
(1)求A∩B,A∪B;
(2)求(∁UA)∩(∁UB).

查看答案和解析>>

科目: 来源:2012-2013学年重庆市铜梁中学高二(下)第一次月考数学试卷(文科)(解析版) 题型:解答题

已知复数z=(2m2+3m-2)+(m2+m-2)i,(m∈R)根据下列条件,求m值.
(1)z是实数;      
(2)z是虚数;     
(3)z是纯虚数;     
(4)z=0.

查看答案和解析>>

科目: 来源:2012-2013学年重庆市铜梁中学高二(下)第一次月考数学试卷(文科)(解析版) 题型:解答题

已知集合A={x|x2-mx+1=0},B={x|x2-3x+2=0},若A∩(CUB)=ϕ,其中U=R,求实数m的取值范围.

查看答案和解析>>

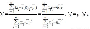
科目: 来源:2012-2013学年重庆市铜梁中学高二(下)第一次月考数学试卷(文科)(解析版) 题型:解答题

某种产品的广告费用支出x(万元)与销售额y(万元)之间有如下的对应数据:
x24568
y3040605070
(1)求回归直线方程;
(2)据此估计广告费用为9万元时,销售收入y的值.
参考公式:回归直线的方程,其中

查看答案和解析>>

科目: 来源:2012-2013学年重庆市铜梁中学高二(下)第一次月考数学试卷(文科)(解析版) 题型:解答题

已知z=1+i,a,b为实数.
(1)若ω=z2+3-4,求|ω|;
(2)若,求a,b的值.

查看答案和解析>>

同步练习册答案