相关习题
 0  82396  82404  82410  82414  82420  82422  82426  82432  82434  82440  82446  82450  82452  82456  82462  82464  82470  82474  82476  82480  82482  82486  82488  82490  82491  82492  82494  82495  82496  82498  82500  82504  82506  82510  82512  82516  82522  82524  82530  82534  82536  82540  82546  82552  82554  82560  82564  82566  82572  82576  82582  82590  266669 

科目: 来源:2012-2013学年北京市东城区普通校高三(上)11月联考数学试卷(文科)(解析版) 题型:填空题

设a=log2,b=log23,c=(0.3,则a、b、c从小到大的顺序是   

查看答案和解析>>

科目: 来源:2012-2013学年北京市东城区普通校高三(上)11月联考数学试卷(文科)(解析版) 题型:填空题

已知命题P:?x1∈R,ax12.若命题p是假命题,则实数a的取值范围是   

查看答案和解析>>

科目: 来源:2012-2013学年北京市东城区普通校高三(上)11月联考数学试卷(文科)(解析版) 题型:填空题

已知函数f(x)的定义域为A,若其值域也为A,则称区间A为f(x)的保值区间.若g(x)=x+m+lnx的保值区间是[e,+∞),则m的值为   

查看答案和解析>>

科目: 来源:2012-2013学年北京市东城区普通校高三(上)11月联考数学试卷(文科)(解析版) 题型:解答题

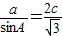
在锐角△ABC中,a、b、c分别为角A、B、C所对的边,且
(Ⅰ) 确定角C的大小;
(Ⅱ)若c=,且△ABC的面积为,求a2+b2的值.

查看答案和解析>>

科目: 来源:2012-2013学年北京市东城区普通校高三(上)11月联考数学试卷(文科)(解析版) 题型:解答题

已知函数f(x)=2sinxcosx-2sin2x.
(Ⅰ)若角α的终边与单位圆交于点P(),求f(α)的值;
(Ⅱ)若,求f(x)最小正周期和值域.

查看答案和解析>>

科目: 来源:2012-2013学年北京市东城区普通校高三(上)11月联考数学试卷(文科)(解析版) 题型:解答题

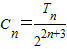
已知等差数列{an}满足:a2=5,a4+a6=22.{an}的前n项和为Sn
(Ⅰ)求an 及Sn
(Ⅱ)若f(x)=,bn=f(an)(n∈N+),求数列{bn}的前n项和Tn

查看答案和解析>>

科目: 来源:2012-2013学年北京市东城区普通校高三(上)11月联考数学试卷(文科)(解析版) 题型:解答题

已知函数f(x)=loga(x+1),g(x)=loga(1-x)(其中a>0,且a≠1)
(1)求函数f(x)+g(x)的定义域;
(2)判断函数f(x)-g(x)的奇偶性,并予以证明;
(3)求使f(x)+g(x)<0成立的x的集合.

查看答案和解析>>

科目: 来源:2012-2013学年北京市东城区普通校高三(上)11月联考数学试卷(文科)(解析版) 题型:解答题

已知f(x)=x3+ax2-a2x+2.
(Ⅰ)若a=1,求曲线y=f(x)在点(1,f(1)处的切线方程;
(Ⅱ)若a≠0 求函数f(x)的单调区间;
(Ⅲ)若不等式2xlnx≤f′(x)+a2+1恒成立,求实数a的取值范围.

查看答案和解析>>

科目: 来源:2012-2013学年北京市东城区普通校高三(上)11月联考数学试卷(文科)(解析版) 题型:解答题

数列{an}的前n项和为Sn,若a1=3,点(Sn,Sn+1)在直线(n∈N*)上.
(Ⅰ)求证:数列是等差数列;
(Ⅱ)若数列{bn}满足,求数列{bn}的前n项和Tn
(Ⅲ)设,求证:

查看答案和解析>>

科目: 来源:2012-2013学年福建省泉州市南安一中高二(上)期中数学试卷(文科)(解析版) 题型:选择题

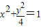
椭圆的离心率是( )
A.
B.
C.
D.

查看答案和解析>>

同步练习册答案