相关习题
 0  82479  82487  82493  82497  82503  82505  82509  82515  82517  82523  82529  82533  82535  82539  82545  82547  82553  82557  82559  82563  82565  82569  82571  82573  82574  82575  82577  82578  82579  82581  82583  82587  82589  82593  82595  82599  82605  82607  82613  82617  82619  82623  82629  82635  82637  82643  82647  82649  82655  82659  82665  82673  266669 

科目: 来源:2012-2013学年江苏省盐城市东台中学高三(上)数学阶段练习(一)(解析版) 题型:解答题

已知函数f(x)=2sin(ωx+φ)(ω>0,-φ<)的图象如图所示,直线x=,x=是其两条对称轴.
(1)求函数f(x)的解析式;
(2)若f(a)=,且,求f()的值.

查看答案和解析>>

科目: 来源:2012-2013学年江苏省盐城市东台中学高三(上)数学阶段练习(一)(解析版) 题型:解答题

如图,已知斜三棱柱ABC-A1B1C1中,AB=AC,D为BC的中点.
(1)若平面ABC⊥平面BCC1B1,求证:AD⊥DC1
(2)求证:A1B∥平面ADC1

查看答案和解析>>

科目: 来源:2012-2013学年江苏省盐城市东台中学高三(上)数学阶段练习(一)(解析版) 题型:解答题

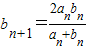
设数列{an}、{bn}满足a1=4,
(Ⅰ) 证明:anbn=4
(Ⅱ) 证明:an>2,0<bn<2(n∈N*);
(Ⅲ)设,求数列{cn}的通项公式.

查看答案和解析>>

科目: 来源:2012-2013学年江苏省盐城市东台中学高三(上)数学阶段练习(一)(解析版) 题型:解答题

某厂家拟在2010年举行促销活动,经调查测算,该产品的年销售量(即该厂的年产量)x万件与年促销费用m万元(m≥0)满足x=3-(k为常数),如果不搞促销活动,则该产品的年销售量只能是1万件.已知2010年生产该产品的固定投入为8万元,每生产1万件该产品需要再投入16万元,厂家将每件产品的销售价格定为每件产品年平均成本的1.5倍(产品成本包括固定投入和再投入两部分资金).
(1)将2010年该产品的利润y万元表示为年促销费用m万元的函数;
(2)该厂家2010年的促销费用投入多少万元时,厂家的利润最大.

查看答案和解析>>

科目: 来源:2012-2013学年江苏省盐城市东台中学高三(上)数学阶段练习(一)(解析版) 题型:解答题

(本题文科学生做)如图,在平面直角坐标系xoy中,已知F1(-4,0),F2(4,0),A(0,8),直线y=t(0<t<8)与线段AF1、AF2分别交于点P、Q.
(Ⅰ)当t=3时,求以F1,F2为焦点,且过PQ中点的椭圆的标准方程;
(Ⅱ)过点Q作直线QR∥AF1交F1F2于点R,记△PRF1的外接圆为圆C.
①求证:圆心C在定直线7x+4y+8=0上;
②圆C是否恒过异于点F1的一个定点?若过,求出该点的坐标;若不过,请说明理由.

查看答案和解析>>

科目: 来源:2012-2013学年江苏省盐城市东台中学高三(上)数学阶段练习(一)(解析版) 题型:解答题

已知函数f(x)=ax+x2-xlna(a>0,a≠1).
(Ⅰ)当a>1时,求证:函数f(x)在(0,+∞)上单调递增;
(Ⅱ)若函数y=|f(x)-t|-1有三个零点,求t的值;
(Ⅲ)若存在x1,x2∈[-1,1],使得|f(x1)-f(x2)|≥e-1,试求a的取值范围.

查看答案和解析>>

科目: 来源:2012-2013学年浙江省台州外国语学校高二(下)第一次月考数学试卷(文科)(解析版) 题型:选择题

f(x)=x3,f′(x)=6,则x=( )
A.
B.-
C.±
D.±1

查看答案和解析>>

科目: 来源:2012-2013学年浙江省台州外国语学校高二(下)第一次月考数学试卷(文科)(解析版) 题型:选择题

下列运算正确的是( )
A.
B.
C.(3x)′=x3x-1
D.

查看答案和解析>>

科目: 来源:2012-2013学年浙江省台州外国语学校高二(下)第一次月考数学试卷(文科)(解析版) 题型:选择题

曲线y=x3-3x2+1在点(1,-1)处的切线方程为( )
A.y=3x-4
B.y=-3x+2
C.y=-4x+3
D.y=4x-5

查看答案和解析>>

科目: 来源:2012-2013学年浙江省台州外国语学校高二(下)第一次月考数学试卷(文科)(解析版) 题型:选择题

函数y=1+3x-x3有( )
A.极小值-1,极大值3
B.极小值-2,极大值3
C.极小值-1,极大值1
D.极小值-2,极大值2

查看答案和解析>>

同步练习册答案