相关习题
 0  82496  82504  82510  82514  82520  82522  82526  82532  82534  82540  82546  82550  82552  82556  82562  82564  82570  82574  82576  82580  82582  82586  82588  82590  82591  82592  82594  82595  82596  82598  82600  82604  82606  82610  82612  82616  82622  82624  82630  82634  82636  82640  82646  82652  82654  82660  82664  82666  82672  82676  82682  82690  266669 

科目: 来源:2012-2013学年山东省济宁市曲阜市高三(上)11月月考数学试卷(理科)(解析版) 题型:选择题

已知集合M={0,1,2,3},N={-1,1},则下列结论成立的是( )
A.N⊆M
B.M∪N=M
C.M∩N=N
D.M∩N={1}

查看答案和解析>>

科目: 来源:2012-2013学年山东省济宁市曲阜市高三(上)11月月考数学试卷(理科)(解析版) 题型:选择题

命题“?x>0,x2-x≤0”的否命题是( )
A.?x>0,x2-x>0
B.?x≤0,x2-x>0
C.?x<0,x2-x>0
D.?x≤0,x2-x>0

查看答案和解析>>

科目: 来源:2012-2013学年山东省济宁市曲阜市高三(上)11月月考数学试卷(理科)(解析版) 题型:选择题

已知x∈R,那么的( )
A.充分不必要条件
B.必要不充分条件
C.充分必要条件
D.既不充分也不必要条件

查看答案和解析>>

科目: 来源:2012-2013学年山东省济宁市曲阜市高三(上)11月月考数学试卷(理科)(解析版) 题型:选择题

函数y=loga(|x|+1)(a>1)的图象大致是( )
A.
B.
C.
D.

查看答案和解析>>

科目: 来源:2012-2013学年山东省济宁市曲阜市高三(上)11月月考数学试卷(理科)(解析版) 题型:选择题

函数的零点个数是( )
A.0
B.1
C.2
D.3

查看答案和解析>>

科目: 来源:2012-2013学年山东省济宁市曲阜市高三(上)11月月考数学试卷(理科)(解析版) 题型:选择题

如果若干个函数的图象经过平移后能够重合,则称这些函数为“同簇函数”.给出下列函数:
①f(x)=sinxcosx;②f(x)=2sin(x+);③f(x)=sinx+cosx;  ④f(x)=sin2x+1.
其中“同簇函数”的是( )
A.①②
B.①④
C.②③
D.③④

查看答案和解析>>

科目: 来源:2012-2013学年山东省济宁市曲阜市高三(上)11月月考数学试卷(理科)(解析版) 题型:选择题

已知向量,且,若变量x,y满足约束条件则z的最大值为( )
A.1
B.2
C.3
D.4

查看答案和解析>>

科目: 来源:2012-2013学年山东省济宁市曲阜市高三(上)11月月考数学试卷(理科)(解析版) 题型:选择题

已知a>0,b>0,且2是2a与b的等差中项,则的最小值为( )
A.
B.
C.2
D.4

查看答案和解析>>

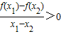
科目: 来源:2012-2013学年山东省济宁市曲阜市高三(上)11月月考数学试卷(理科)(解析版) 题型:选择题

定义在R上的偶函数满足:对任意x1,x2∈[0,+∞),且x1≠x2都有,则( )
A.f(3)<f(-2)<f(1)
B.f(1)<f(-2)<f(3)
C.f(-2)<f(1)<f(3)
D.f(3)<f(1)<f(-2)

查看答案和解析>>

科目: 来源:2012-2013学年山东省济宁市曲阜市高三(上)11月月考数学试卷(理科)(解析版) 题型:选择题

如图,平行四边开ABCD中,AB=2,AD=1,∠A=60°,点M在AB边上,且AM=AB,则•等于( )

A.-1
B.1
C.-
D.

查看答案和解析>>

同步练习册答案