相关习题
 0  82513  82521  82527  82531  82537  82539  82543  82549  82551  82557  82563  82567  82569  82573  82579  82581  82587  82591  82593  82597  82599  82603  82605  82607  82608  82609  82611  82612  82613  82615  82617  82621  82623  82627  82629  82633  82639  82641  82647  82651  82653  82657  82663  82669  82671  82677  82681  82683  82689  82693  82699  82707  266669 

科目: 来源:2012-2013学年广西大学附中高一(上)第二次月考数学试卷(解析版) 题型:选择题

有下列运算式:




其中正确的有( )
A.0个
B.1个
C.2个
D.3个

查看答案和解析>>

科目: 来源:2012-2013学年广西大学附中高一(上)第二次月考数学试卷(解析版) 题型:选择题

log3x2=2是log3x=1成立的( )
A.充分不必要条件
B.必要不充分条件
C.充要条件
D.既不充分又不必要条件

查看答案和解析>>

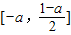
科目: 来源:2012-2013学年广西大学附中高一(上)第二次月考数学试卷(解析版) 题型:选择题

若函数y=f(x)的定义域是[0,1],则函数f(x+a)+f(2x+a)(0<a<1)的定义域是( )
A.
B.
C.[-a,1-a]
D.

查看答案和解析>>

科目: 来源:2012-2013学年广西大学附中高一(上)第二次月考数学试卷(解析版) 题型:选择题

下列说法错误的是( )
A.命题“若x2-4x+3=0,则x=3”的逆否命题是:“若x≠3,则x2-4x+3≠0”
B.“x>1”是“|x|>0”的充分不必要条件
C.若p且q为假命题,则p、q均为假命题
D.命题p:“?x∈R使得x2+x+1<0”,则¬p:“?x∈R,均有x2+x+1≥0”

查看答案和解析>>

科目: 来源:2012-2013学年广西大学附中高一(上)第二次月考数学试卷(解析版) 题型:选择题

,则a的取值范围是( )
A.(0,
B.(
C.(
D.

查看答案和解析>>

科目: 来源:2012-2013学年广西大学附中高一(上)第二次月考数学试卷(解析版) 题型:选择题

若函数f(x)=logax(0<a<1)在区间[a,2a]上的最大值是最小值的3倍,则a等于( )
A.
B.
C.
D.

查看答案和解析>>

科目: 来源:2012-2013学年广西大学附中高一(上)第二次月考数学试卷(解析版) 题型:选择题

函数y=的单调递减区间是( )
A.(-∞,-3)
B.(-1,+∞)
C.(-∞,-1
D.[-1,+∞)

查看答案和解析>>

科目: 来源:2012-2013学年广西大学附中高一(上)第二次月考数学试卷(解析版) 题型:选择题

设P、Q是两个非空集合,定义集合间的一种运算“⊙”:P⊙Q={x|x∈P∪Q,且x∉P∩Q}.如果,则P⊙Q=( )
A.[0,1]∪(2,+∞)
B.[0,1]∪[4,+∞)
C.[1,4]
D.(4,+∞)

查看答案和解析>>

科目: 来源:2012-2013学年广西大学附中高一(上)第二次月考数学试卷(解析版) 题型:选择题

已知a>0,且a≠1,则在同一直角坐标系中,函数y=a-x 和y=loga(-x)的图象有可能是( )
A.
B.
C.
D.

查看答案和解析>>

科目: 来源:2012-2013学年广西大学附中高一(上)第二次月考数学试卷(解析版) 题型:选择题

将函数f(x)=2x的图象左平移一个单位,得到图象C1,再将C1向上平移一个单位得到图象C2,作出C2关于直线y=x的对称图象C3,则C3的解析式为( )
A.y=log2(x-1)-1
B.y=log2(x+1)+1
C.y=log2(x+1)-1
D.y=log2(x-1)+1

查看答案和解析>>

同步练习册答案