相关习题
 0  82518  82526  82532  82536  82542  82544  82548  82554  82556  82562  82568  82572  82574  82578  82584  82586  82592  82596  82598  82602  82604  82608  82610  82612  82613  82614  82616  82617  82618  82620  82622  82626  82628  82632  82634  82638  82644  82646  82652  82656  82658  82662  82668  82674  82676  82682  82686  82688  82694  82698  82704  82712  266669 

科目: 来源:2012-2013学年陕西省延安市延长中学高三(上)第二次月考数学试卷(理科)(解析版) 题型:解答题

已知向量,其中].
(1)试判断能否平行?并说明理由;
(2)求f(x)=的最小值.

查看答案和解析>>

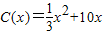
科目: 来源:2012-2013学年陕西省延安市延长中学高三(上)第二次月考数学试卷(理科)(解析版) 题型:解答题

某厂生产某种产品的年固定成本为250万元,每生产x千件,需另投入成本为C(x),当年产量不足80千件时,(万元);当年产量不小于80千件时,(万元).现已知此商品每件售价为500元,且该厂年内生产此商品能全部销售完.
(1)写出年利润L(万元)关于年产量x(千件)的函数解析式;
(2)年产量为多少千件时,该厂在这一商品的生产中所获利润最大?

查看答案和解析>>

科目: 来源:2012-2013学年陕西省延安市延长中学高三(上)第二次月考数学试卷(理科)(解析版) 题型:解答题

已知函数
(Ⅰ)求f(x)的最大值和最小值;
(Ⅱ)若不等式|f(x)-m|<2在上恒成立,求实数m的取值范围.

查看答案和解析>>

科目: 来源:2012-2013学年陕西省延安市延长中学高三(上)第二次月考数学试卷(理科)(解析版) 题型:解答题

解关于x的不等式ax2-(1+a)x+1>0.

查看答案和解析>>

科目: 来源:2012-2013学年陕西省延安市延长中学高三(上)第二次月考数学试卷(理科)(解析版) 题型:解答题

(1)下面图形由单位正方形组成,请观察图1至图4的规律,并依此规律,在横线上方处画出下一个适当的图形;

(2)图中的三角形称为希尔宾斯基三角形,在如图所示的四个三角形中,着色三角形的个数依次构成数列的前四项,依此着色方案继续对三角形着色,求着色三角形的个数的通项公式bn

(3)依照(1)中规律,继续用单位正方形绘图,记每个图形中单位正方形的个数为an(n=1,2,3,…),设,求数列{cn}的前n项和Sn

查看答案和解析>>

科目: 来源:2012-2013学年陕西省延安市延长中学高三(上)第二次月考数学试卷(理科)(解析版) 题型:解答题

设函数
(Ⅰ)若函数f(x)在x=3处取得极小值是,求a、b的值;
(Ⅱ)求函数f(x)的单调递增区间;
(Ⅲ)若函数f(x)在(-1,1)上有且只有一个极值点,求实数a的取值范围.

查看答案和解析>>

科目: 来源:2012-2013学年陕西省榆林实验中学高二(上)期末数学试卷(理科)(解析版) 题型:选择题

若数列{an}的前n项和Sn=n2-2n+3,则数列{an}的前3项依次为( )
A.-1,1,3
B.6,1,3
C.2,1,3
D.2,3,6

查看答案和解析>>

科目: 来源:2012-2013学年陕西省榆林实验中学高二(上)期末数学试卷(理科)(解析版) 题型:选择题

已知{an}是等比数列,a2=2,a5=,则公比q=( )
A.
B.-2
C.2
D.

查看答案和解析>>

科目: 来源:2012-2013学年陕西省榆林实验中学高二(上)期末数学试卷(理科)(解析版) 题型:选择题

若△ABC中,sinA:sinB:sinC=2:3:4,那么cosC=( )
A.
B.
C.
D.

查看答案和解析>>

科目: 来源:2012-2013学年陕西省榆林实验中学高二(上)期末数学试卷(理科)(解析版) 题型:选择题

对于直线m,n和平面α,β,γ,有如下四个命题:
(1)若m∥α,m⊥n,则n⊥α
(2)若m⊥α,m⊥n,则n∥α
(3)若α⊥β,γ⊥β,则α∥γ
(4)若m⊥α,m∥n,n?β,则α⊥β
其中真命题的个数是( )
A.1
B.2
C.3
D.4

查看答案和解析>>

同步练习册答案