相关习题
 0  82528  82536  82542  82546  82552  82554  82558  82564  82566  82572  82578  82582  82584  82588  82594  82596  82602  82606  82608  82612  82614  82618  82620  82622  82623  82624  82626  82627  82628  82630  82632  82636  82638  82642  82644  82648  82654  82656  82662  82666  82668  82672  82678  82684  82686  82692  82696  82698  82704  82708  82714  82722  266669 

科目: 来源:2012-2013学年山东省济宁市鱼台一中高一(下)2月月考数学试卷(解析版) 题型:选择题

函数的定义域是( )
A.
B.
C.
D.[0,1)

查看答案和解析>>

科目: 来源:2012-2013学年山东省济宁市鱼台一中高一(下)2月月考数学试卷(解析版) 题型:选择题

某四面体的三视图如图所示,该四面体四个面的面积中,最大的是( )
A.8
B.
C.10
D.

查看答案和解析>>

科目: 来源:2012-2013学年山东省济宁市鱼台一中高一(下)2月月考数学试卷(解析版) 题型:选择题

已知点A(-5,4)、B(3,2),过点C(-1,2),且与点A、B的距离相等的直线方程是( )
A.x+4y-7=0
B.4x-y+7=0
C.x+4y-7=0或x+1=0
D.x+4y-7=0或4x-y+7=0

查看答案和解析>>

科目: 来源:2012-2013学年山东省济宁市鱼台一中高一(下)2月月考数学试卷(解析版) 题型:选择题

设a>1,若对于任意的x∈[a,2a],都有y∈[a,a2]满足方程logax+logay=3,这时a的取值集合为( )
A.{a|1<a≤2}
B.{a|a≥2}
C.{a|2≤a≤3}
D.{2,3}

查看答案和解析>>

科目: 来源:2012-2013学年山东省济宁市鱼台一中高一(下)2月月考数学试卷(解析版) 题型:选择题

若直线ax+by-3=0和圆x2+y2+4x-1=0切于点P(-1,2),则ab的值为( )
A.-3
B.-2
C.2
D.3

查看答案和解析>>

科目: 来源:2012-2013学年山东省济宁市鱼台一中高一(下)2月月考数学试卷(解析版) 题型:选择题

侧棱长为a的正三棱锥P-ABC的侧面都是直角三角形,且四个顶点都在一个球面上,则该球的表面积为( )
A.
B.2πa2
C.
D.3πa2

查看答案和解析>>

科目: 来源:2012-2013学年山东省济宁市鱼台一中高一(下)2月月考数学试卷(解析版) 题型:选择题

已知函数f(x)=3ax+1-3a,在区间(-1,1)内存在x,使f(x)=0,则a的取值范围是( )
A.
B.
C.或a<-1
D.a<-1

查看答案和解析>>

科目: 来源:2012-2013学年山东省济宁市鱼台一中高一(下)2月月考数学试卷(解析版) 题型:选择题

定义在R上的偶函数f(x)满足:对任意的x1,x2∈(-∞,0](x1≠x2),有(x2-x1)(f(x2)-f(x1))>0.则当n∈N*时,有( )
A.f(-n)<f(n-1)<f(n+1)
B.f(n-1)<f(-n)<f(n+1)
C.f(n+1)<f(-n)<f(n-1)
D.f(n+1)<f(n-1)<f(-n)

查看答案和解析>>

科目: 来源:2012-2013学年山东省济宁市鱼台一中高一(下)2月月考数学试卷(解析版) 题型:填空题

在空间直角坐标系中,在z轴上求一点C,使得点C到点A(1,0,2)与点B(1,1,1)的距离相等,则点C的坐标为   

查看答案和解析>>

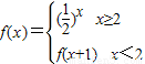
科目: 来源:2012-2013学年山东省济宁市鱼台一中高一(下)2月月考数学试卷(解析版) 题型:填空题

已知函数,则函数f(log23)的值为   

查看答案和解析>>

同步练习册答案