相关习题
 0  82531  82539  82545  82549  82555  82557  82561  82567  82569  82575  82581  82585  82587  82591  82597  82599  82605  82609  82611  82615  82617  82621  82623  82625  82626  82627  82629  82630  82631  82633  82635  82639  82641  82645  82647  82651  82657  82659  82665  82669  82671  82675  82681  82687  82689  82695  82699  82701  82707  82711  82717  82725  266669 

科目: 来源:2012-2013学年广西大学附中高三(上)第一次月考数学试卷(文科)(解析版) 题型:填空题

若集合A={x||x-2|<3},集合B={x|>0},则A∩B=   

查看答案和解析>>

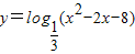
科目: 来源:2012-2013学年广西大学附中高三(上)第一次月考数学试卷(文科)(解析版) 题型:填空题

函数的单调递减区间为   

查看答案和解析>>

科目: 来源:2012-2013学年广西大学附中高三(上)第一次月考数学试卷(文科)(解析版) 题型:填空题

已知f(x)=log3x+2(x∈[1,9]),则函数y=[f(x)]2+f(x2)的最大值是   

查看答案和解析>>

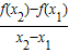
科目: 来源:2012-2013学年广西大学附中高三(上)第一次月考数学试卷(文科)(解析版) 题型:填空题

定义在R上的偶函数f(x),对任意x1,x2∈[0,+∞)(x1≠x2),有<0,则下列结论正确的是   
①f(3)<f(-2)<f(1)
②f(1)<f(-2)<f(3)
③f(-2)<f(1)<f(3)
④f(3)<f(1)<f(-2)

查看答案和解析>>

科目: 来源:2012-2013学年宁夏银川一中高三(上)第四次月考数学试卷(解析版) 题型:选择题

已知全集U=R,集合X=|x|x2-x=0|,Y={x|x2+x=0},则X∩(CUY)等于( )
A.∅
B.{0}
C.{1}
D.{-1,0,1}

查看答案和解析>>

科目: 来源:2012-2013学年宁夏银川一中高三(上)第四次月考数学试卷(解析版) 题型:选择题

共线(其中,则等于( )
A.
B.
C.-2
D.2

查看答案和解析>>

科目: 来源:2012-2013学年宁夏银川一中高三(上)第四次月考数学试卷(解析版) 题型:选择题

已知Sn是等差数列{an}的前n项和,且S6=3,S11=18,则a9等于( )
A.3
B.5
C.8
D.15

查看答案和解析>>

科目: 来源:2012-2013学年宁夏银川一中高三(上)第四次月考数学试卷(解析版) 题型:选择题

在△ABC中,三边a,b,c所对的角分别为A,B,C,若a2+b2=ab+c2,则角C为( )
A.30
B.45
C.150
D.135

查看答案和解析>>

科目: 来源:2012-2013学年宁夏银川一中高三(上)第四次月考数学试卷(解析版) 题型:选择题

函数f(x)=x3+x在点x=1处的切线方程为( )
A.4x-y+2=0
B.4x-y-2=0
C.4x+y+2=0
D.4x+y-2=0

查看答案和解析>>

科目: 来源:2012-2013学年宁夏银川一中高三(上)第四次月考数学试卷(解析版) 题型:选择题

设y=(a-1)x(a>1且a≠2)具有不同的单调性,则的大小关系是( )
A.M<N
B.M=N
C.M>N
D.M≤N

查看答案和解析>>

同步练习册答案