相关习题
 0  82644  82652  82658  82662  82668  82670  82674  82680  82682  82688  82694  82698  82700  82704  82710  82712  82718  82722  82724  82728  82730  82734  82736  82738  82739  82740  82742  82743  82744  82746  82748  82752  82754  82758  82760  82764  82770  82772  82778  82782  82784  82788  82794  82800  82802  82808  82812  82814  82820  82824  82830  82838  266669 

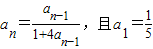
科目: 来源:2012-2013学年河北省邢台一中高二(下)第一次月考数学试卷(理科)(解析版) 题型:解答题

设数列{an}满足当n>1时,
(1)求证:数列为等差数列;
(2)试问a1a2是否是数列{an}中的项.如果是,是第几项;如果不是,说明理由.

查看答案和解析>>

科目: 来源:2012-2013学年河北省邢台一中高二(下)第一次月考数学试卷(理科)(解析版) 题型:解答题

已知{an}是等差数列,其中a1=25,a4=16
(1)求{an}的通项;
(2)求|a1|+|a2|+|a3|+…+|an|的值.

查看答案和解析>>

科目: 来源:2012-2013学年河北省邢台一中高二(下)第一次月考数学试卷(理科)(解析版) 题型:解答题

在△ABC中,内角A,B,C对边的边长分别是a,b,c.已知
(1)若△ABC的面积等于,求a,b;
(2)若sinC+sin(B-A)=2sin2A,求△ABC的面积.

查看答案和解析>>

科目: 来源:2012-2013学年河北省邢台一中高二(下)第一次月考数学试卷(理科)(解析版) 题型:解答题

在等差数列{an}中,a1=1,数列{bn}满足,且
(1)求{an}的通项公式;
(2)求证:a1b1+a2b2+…+anbn<2.

查看答案和解析>>

科目: 来源:2012-2013学年海南省儋州市洋浦中学高三(上)第二次月考数学试卷(文理合卷)(解析版) 题型:选择题

设全集U是实数集R,M={x|x<-2或x>2},N={x|x2-4x+3<0},则图中阴影部分所表示的集合是( )
A.{x|-2≤x<1}
B.{x|-2≤x≤2}
C.{x|1<x≤2}
D.{x|x<2}

查看答案和解析>>

科目: 来源:2012-2013学年海南省儋州市洋浦中学高三(上)第二次月考数学试卷(文理合卷)(解析版) 题型:选择题

函数的定义域是( )
A.[3,+∞)
B.
C.
D.(-∞,-3)

查看答案和解析>>

科目: 来源:2012-2013学年海南省儋州市洋浦中学高三(上)第二次月考数学试卷(文理合卷)(解析版) 题型:选择题

(文)已知tan,tan(α-β)=-,则tan(β-2α)=( )
A.-
B.
C.
D.

查看答案和解析>>

科目: 来源:2012-2013学年海南省儋州市洋浦中学高三(上)第二次月考数学试卷(文理合卷)(解析版) 题型:选择题

(理)下列定积分值为0的是( )
A.
B.
C.
D.

查看答案和解析>>

科目: 来源:2012-2013学年海南省儋州市洋浦中学高三(上)第二次月考数学试卷(文理合卷)(解析版) 题型:选择题

A={小于90°的角},B={第一象限的角},则A∩B等于( )
A.{小于90°的角}
B.{0°~90°的角}
C.{第一象限的角}
D.以上都不对

查看答案和解析>>

科目: 来源:2012-2013学年海南省儋州市洋浦中学高三(上)第二次月考数学试卷(文理合卷)(解析版) 题型:选择题

设f(x)是定义在R上的函数,其图象关于原点对称,且当x>0时,f(x)=2x-3,则f(-2)=( )
A.1
B.-1
C.
D.

查看答案和解析>>

同步练习册答案