相关习题
 0  82646  82654  82660  82664  82670  82672  82676  82682  82684  82690  82696  82700  82702  82706  82712  82714  82720  82724  82726  82730  82732  82736  82738  82740  82741  82742  82744  82745  82746  82748  82750  82754  82756  82760  82762  82766  82772  82774  82780  82784  82786  82790  82796  82802  82804  82810  82814  82816  82822  82826  82832  82840  266669 

科目: 来源:2012-2013学年河北省邯郸市高一(上)期末数学试卷(解析版) 题型:解答题

某租赁公司拥有汽车100辆,当每辆车的月租金为3000元时,可全部租出;当每辆车的月租金每增加50元时未租出的车将会增加一辆.未租出去的车每辆每月需要维护费50元,租出去的车辆维护费由租车用户承担.
(Ⅰ)当每辆车的月租金定为3600时,能租出多少辆车?
(Ⅱ)当每辆车的月租金多少时,租赁公司每月的收益最大?并求出这个最大值.

查看答案和解析>>

科目: 来源:2012-2013学年河北省邯郸市高一(上)期末数学试卷(解析版) 题型:解答题

已知圆C的方程为x2+y2-6x-2y+5=0,过点P(2,0)的动直线l与圆C交于P1,P2两点,过点P1,P2分别作圆C的切线l1,l2,设l1与l2交点为M,求证:点M在一条定直线上,并求出这条定直线的方程.

查看答案和解析>>

科目: 来源:2012-2013学年河北省邢台一中高二(下)第一次月考数学试卷(理科)(解析版) 题型:选择题

数列{an}对任意n∈N*,满足an+1=an+3,且a3=8,则S10等于( )
A.155
B.160
C.172
D.240

查看答案和解析>>

科目: 来源:2012-2013学年河北省邢台一中高二(下)第一次月考数学试卷(理科)(解析版) 题型:选择题

在△ABC中,B=45°,C=60°,c=1,则△ABC中最短边的边长等于( )
A.
B.
C.
D.

查看答案和解析>>

科目: 来源:2012-2013学年河北省邢台一中高二(下)第一次月考数学试卷(理科)(解析版) 题型:选择题

在等比数列{an}中,已知a1=,a5=9,则a3=( )
A.1
B.3
C.±1
D.±3

查看答案和解析>>

科目: 来源:2012-2013学年河北省邢台一中高二(下)第一次月考数学试卷(理科)(解析版) 题型:选择题

边长为5,7,8的三角形的最大角与最小角的和是( )
A.90°
B.120°
C.135°
D.150°

查看答案和解析>>

科目: 来源:2012-2013学年河北省邢台一中高二(下)第一次月考数学试卷(理科)(解析版) 题型:选择题

在△ABC中,若a=2,,A=30°则B为( )
A.60°
B.60°或120°
C.30°
D.30°或150°

查看答案和解析>>

科目: 来源:2012-2013学年河北省邢台一中高二(下)第一次月考数学试卷(理科)(解析版) 题型:选择题

如果把直角三角形的三边都增加同样的长度,则这个新的三角形的形状为( )
A.锐角三角形
B.直角三角形
C.钝角三角形
D.由增加的长度决定

查看答案和解析>>

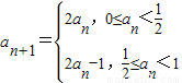
科目: 来源:2012-2013学年河北省邢台一中高二(下)第一次月考数学试卷(理科)(解析版) 题型:选择题

数列{an}满足,若=( )
A.
B.
C.
D.

查看答案和解析>>

科目: 来源:2012-2013学年河北省邢台一中高二(下)第一次月考数学试卷(理科)(解析版) 题型:选择题

在等差数列{an}中,若a3+a4+a5+a6+a7=450,则a2+a8的值为( )
A.45
B.90
C.180
D.300

查看答案和解析>>

同步练习册答案