相关习题
 0  82682  82690  82696  82700  82706  82708  82712  82718  82720  82726  82732  82736  82738  82742  82748  82750  82756  82760  82762  82766  82768  82772  82774  82776  82777  82778  82780  82781  82782  82784  82786  82790  82792  82796  82798  82802  82808  82810  82816  82820  82822  82826  82832  82838  82840  82846  82850  82852  82858  82862  82868  82876  266669 

科目: 来源:2012-2013学年重庆市九校高三(上)联考数学试卷(理科)(解析版) 题型:选择题

已知:为单位向量,,且,则的夹角是( )
A.30
B.60
C.120
D.150

查看答案和解析>>

科目: 来源:2012-2013学年重庆市九校高三(上)联考数学试卷(理科)(解析版) 题型:选择题

a<b<0,下列不等式中正确的是( )
A.b2<a2
B.
C.
D.

查看答案和解析>>

科目: 来源:2012-2013学年重庆市九校高三(上)联考数学试卷(理科)(解析版) 题型:选择题

下列命题中,真命题是( )
A.
B.a>1,b>1是ab>1的充要条件
C.{x|x2-4>0}∩{x|x-1<0}=(-2,1)
D.命题?x∈R,2x>x2的否定是真命题

查看答案和解析>>

科目: 来源:2012-2013学年重庆市九校高三(上)联考数学试卷(理科)(解析版) 题型:选择题

已知变量x,y满足约束条件则z=x+5y的最小值为( )
A.1
B.2
C.4
D.10

查看答案和解析>>

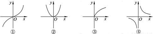
科目: 来源:2012-2013学年重庆市九校高三(上)联考数学试卷(理科)(解析版) 题型:选择题

下图给出4个幂函数的图象,则图象与函数的大致对应是( )
A.①,②y=x2,③,④y=x-1
B.①y=x3,②y=x2,③,④y=x-1
C.①y=x2,②y=x3,③,④y=x-1
D.①,②,③y=x2,④y=x-1

查看答案和解析>>

科目: 来源:2012-2013学年重庆市九校高三(上)联考数学试卷(理科)(解析版) 题型:选择题

已知直线l1:x+(a-2)y-2=0,l2:(a-2)x+ay-1=0,则“a=-1”是“l1⊥l2”的( )
A.充分不必要条件
B.必要不充分条件
C.充要条件
D.既不充分也不必要条件

查看答案和解析>>

科目: 来源:2012-2013学年重庆市九校高三(上)联考数学试卷(理科)(解析版) 题型:选择题

设双曲线的右焦点为F,右准线 l与两条渐近线交于P,Q两点,如果△PQF是等边三角形,则双曲线的离心率e的值为( )
A.
B.
C.2
D.3

查看答案和解析>>

科目: 来源:2012-2013学年重庆市九校高三(上)联考数学试卷(理科)(解析版) 题型:选择题

规定记号“□”表示一种运算,即:a□b=a2+2ab-b2,设函数f(x)=x□2,且关于x的方程为f(x)=lg|x+2|(x≠-2)恰有四个互不相等的实数根x1,x2,x3,x4,则x1+x2+x3+x4的值是( )
A.-4
B.4
C.8
D.-8

查看答案和解析>>

科目: 来源:2012-2013学年重庆市九校高三(上)联考数学试卷(理科)(解析版) 题型:填空题

抛物线的焦点坐标是   

查看答案和解析>>

科目: 来源:2012-2013学年重庆市九校高三(上)联考数学试卷(理科)(解析版) 题型:填空题

已知函数的值为   

查看答案和解析>>

同步练习册答案