相关习题
 0  82884  82892  82898  82902  82908  82910  82914  82920  82922  82928  82934  82938  82940  82944  82950  82952  82958  82962  82964  82968  82970  82974  82976  82978  82979  82980  82982  82983  82984  82986  82988  82992  82994  82998  83000  83004  83010  83012  83018  83022  83024  83028  83034  83040  83042  83048  83052  83054  83060  83064  83070  83078  266669 

科目: 来源:2012-2013学年山东省聊城市某重点中学高二(上)期末数学试卷(理科)(解析版) 题型:解答题

平面直角坐标系有点P(1,cosx),Q(cosx,1),x∈[];
(1)求向量的夹角θ的余弦用x表示的函数f(x);
(2)求cosθ的最值.

查看答案和解析>>

科目: 来源:2012-2013学年山东省聊城市某重点中学高二(上)期末数学试卷(理科)(解析版) 题型:解答题

设直线l:y=g(x),曲线S:y=F(x).若直线l与曲线S同时满足下列两个条件:①直线l与曲线S相切且至少有两个切点;②对任意x∈R都有g(x)≥F(x).则称直线l为曲线S的“上夹线”.
(Ⅰ)已知函数f(x)=x-2sinx.求证:y=x+2为曲线f(x)的“上夹线”.
(Ⅱ)观察下图:

根据上图,试推测曲线S:y=mx-nsinx(n>0)的“上夹线”的方程,并给出证明.

查看答案和解析>>

科目: 来源:2012-2013学年山东省聊城市某重点中学高二(上)期末数学试卷(理科)(解析版) 题型:解答题

设函数f(x)=ax3+bx2+cx在x=1和x=-1处有极值,且f(1)=-1,求a,b,c的值,并求出相应的极值.

查看答案和解析>>

科目: 来源:2012-2013学年山东省聊城市某重点中学高二(上)期末数学试卷(理科)(解析版) 题型:解答题

已知椭圆(a>b>0),A、B是椭圆上的两点,线段AB的垂直平分线与x轴相交于点P(x,0).证明

查看答案和解析>>

科目: 来源:2012-2013学年山东省聊城市某重点中学高二(上)期末数学试卷(理科)(解析版) 题型:解答题

椭圆C:的两个焦点为F1,F2,点P在椭圆C上,且
(Ⅰ)求椭圆C的方程;
(Ⅱ)若直线l过圆x2+y2+4x-2y=0的圆心,交椭圆C于A,B两点,且A、B关于点M对称,求直线l的方程.

查看答案和解析>>

科目: 来源:2012-2013学年广东省惠州一中高二(上)期末数学试卷(理科)(解析版) 题型:选择题

“x>2且y>2”是“x+y>4”的( )
A.充分不必要条件
B.必要不充分条件
C.充要条件
D.既不充分也不必要条件

查看答案和解析>>

科目: 来源:2012-2013学年广东省惠州一中高二(上)期末数学试卷(理科)(解析版) 题型:选择题

某林场有树苗30000棵,其中松树苗4000棵.为调查树苗的生长情况,采用分层抽样的方法抽取一个容量为150的样本,则样本中松树苗的数量为( )
A.30
B.25
C.20
D.15

查看答案和解析>>

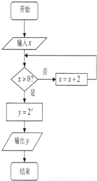
科目: 来源:2012-2013学年广东省惠州一中高二(上)期末数学试卷(理科)(解析版) 题型:选择题

如图所示的算法流程图中,若输入的x值为-1,则输出的y值是( )

A.
B.
C.8
D.2

查看答案和解析>>

科目: 来源:2012-2013学年广东省惠州一中高二(上)期末数学试卷(理科)(解析版) 题型:选择题

f(x)的导函数f'(x)的图象如图所示,则函数f(x)的图象最有可能的是图中的( )
A.
B.
C.
D.

查看答案和解析>>

科目: 来源:2012-2013学年广东省惠州一中高二(上)期末数学试卷(理科)(解析版) 题型:选择题

在区间(1,7)中取一个数使取到的数大于3的概率是( )
A.
B.
C.
D.

查看答案和解析>>

同步练习册答案