相关习题
 0  83001  83009  83015  83019  83025  83027  83031  83037  83039  83045  83051  83055  83057  83061  83067  83069  83075  83079  83081  83085  83087  83091  83093  83095  83096  83097  83099  83100  83101  83103  83105  83109  83111  83115  83117  83121  83127  83129  83135  83139  83141  83145  83151  83157  83159  83165  83169  83171  83177  83181  83187  83195  266669 

科目: 来源:2012-2013学年湖北省仙桃中学、麻城、新洲一中、武汉二中高一(上)期末数学试卷(解析版) 题型:解答题

在△ABC中,点D和E分别在BC上,且,AD与BE交于R,证明:

查看答案和解析>>

科目: 来源:2012-2013学年湖北省仙桃中学、麻城、新洲一中、武汉二中高一(上)期末数学试卷(解析版) 题型:解答题

已知向量=(cosα,sinα),=(cosβ,sinβ),|-|=
(1)求cos(α-β)的值;
(2)若0<α<,-<β<0,且sinβ=-,求sinα的值.

查看答案和解析>>

科目: 来源:2012-2013学年湖北省仙桃中学、麻城、新洲一中、武汉二中高一(上)期末数学试卷(解析版) 题型:解答题

已知函数为偶函数,且函数y=f(x)图象的两相邻对称轴间的距离为
(1)当时,求f(x)的取值范围;
(2)将函数y=f(x)的图象按向量平移后,再将得到的图象上各点的横坐标伸长到原来的4倍,纵坐标不变,得到函数y=g(x)的图象,求g(x)的单调递减区间.

查看答案和解析>>

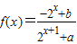
科目: 来源:2012-2013学年湖北省仙桃中学、麻城、新洲一中、武汉二中高一(上)期末数学试卷(解析版) 题型:解答题

已知定义域为R的函数是奇函数.
(1)求f(x)的解析式;
(2)用定义证明f(x)为R上的减函数;
(3)若对任意的t∈[-1,1],不等式f(2k-4t)+f<0恒成立,求k的取值范围.

查看答案和解析>>

科目: 来源:2012-2013学年广东省鹤山一中高二(上)期末数学试卷(文科)(解析版) 题型:选择题

命题“若x2<1,则-1<x<1”的逆否命题是( )
A.若x2≥1,则x≥1或x≤-1
B.若-1<x<1,则x2<1
C.若x>1或x<-1,则x2>1
D.若x≥1或x≤-1,则x2≥1

查看答案和解析>>

科目: 来源:2012-2013学年广东省鹤山一中高二(上)期末数学试卷(文科)(解析版) 题型:选择题

记数列{an}的前n项和为Sn,且Sn=2(an-1),则a2( )
A.4
B.2
C.1
D.-2

查看答案和解析>>

科目: 来源:2012-2013学年广东省鹤山一中高二(上)期末数学试卷(文科)(解析版) 题型:选择题

函数y=x2cosx的导数为( )
A.y′=2xcosx-x2sin
B.y′=2xcosx+x2sin
C.y′=x2cosx-2xsin
D.y′=xcosx-x2sin

查看答案和解析>>

科目: 来源:2012-2013学年广东省鹤山一中高二(上)期末数学试卷(文科)(解析版) 题型:选择题

设p:-1<x<3,q:x>5,则¬p是q的( )
A.充分不必要条件
B.必要不充分条件
C.充要条件
D.既不充分也不必要条件

查看答案和解析>>

科目: 来源:2012-2013学年广东省鹤山一中高二(上)期末数学试卷(文科)(解析版) 题型:选择题

双曲线9y2-16x2=144的离心率为( )
A.
B.
C.
D.

查看答案和解析>>

科目: 来源:2012-2013学年广东省鹤山一中高二(上)期末数学试卷(文科)(解析版) 题型:选择题

图中阴影部分表示的平面区域满足的不等式是( )

A.x+y-1<0
B.x+y-1>0
C.x-y-1<0
D.x-y-1>0

查看答案和解析>>

同步练习册答案